mp-20199/PPbS3/anharm

Harmonic properties

../../_images/fig_bandos_pr13440.png

(a) Phonon dispersion with participation ratio and DOS

../../_images/fig_thermo13440.png

(b) Thermodynamic properties

Grüneisen parameters

../../_images/fig_gru_all5673.png

(a) Grüneisen parameters

../../_images/fig_gruneisen5673.png

(b) Phonon dispersion with Grüneisen parameters

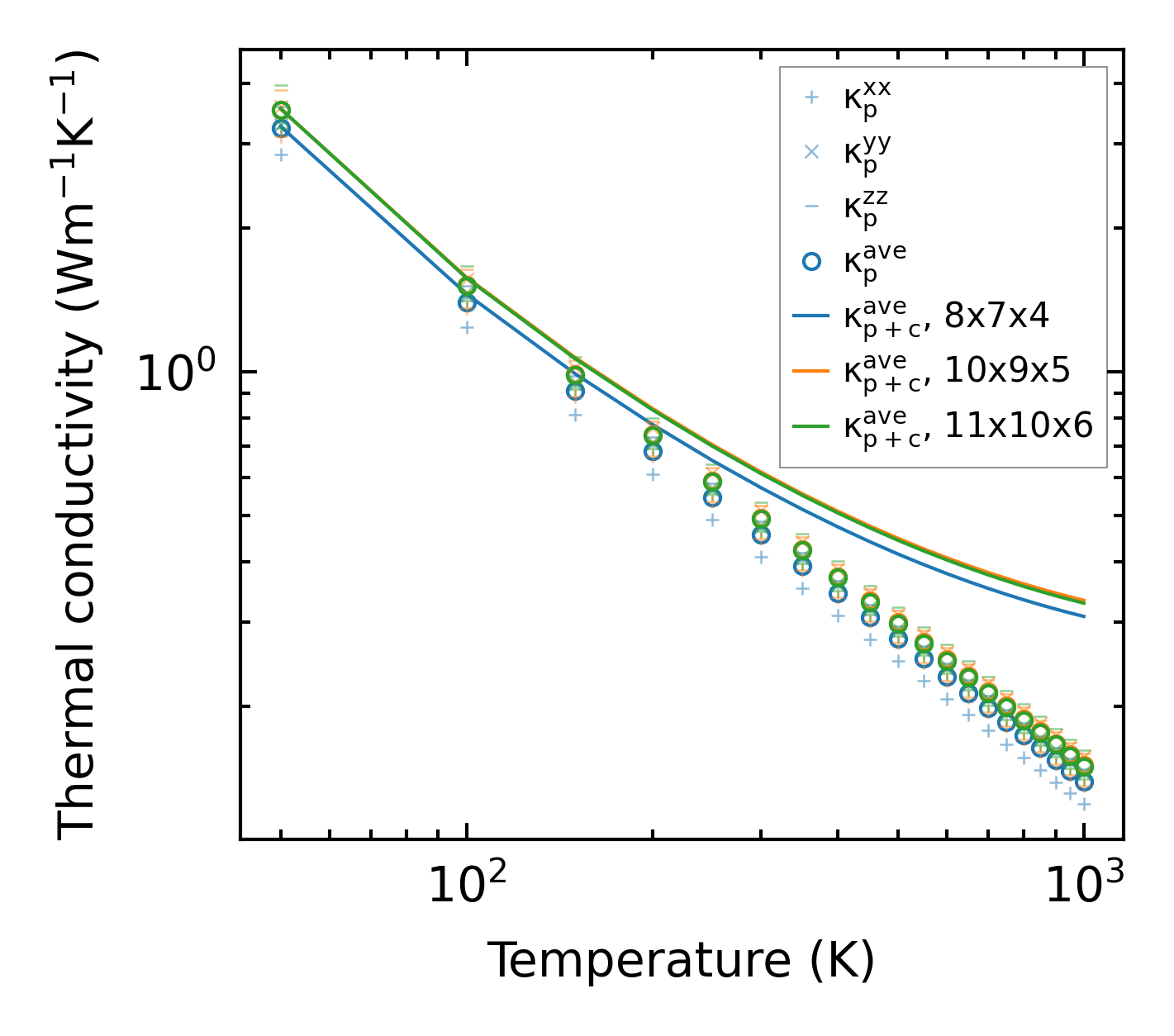
Thermal conductivity

3-phonon (LASSO) — q-mesh: 11x10x6, supercell: 2x2x1

../../_images/fig_kappa10658.png

(a) Temperature-dependent lattice thermal conductivity

../../_images/fig_kappa_vs_grain_size5739.png

(b) Peierls lattice thermal conductivity w.r.t grain size

Phonon lifetime and scattering rates

../../_images/fig_lifetime5618.png

(a) Phonon lifetime due to phonon-phonon scattering

../../_images/fig_scat_rates5617.png

(b) Phonon scattering rates

Cumulative and spectral thermal conductivity

../../_images/fig_cumu_frequency5618.png

(a) Spectral and cumulative thermal conductivity w.r.t frequency

../../_images/fig_cumu_mfp5617.png

(b) Spectral and cumulative thermal conductivity w.r.t MFP

Force constants

../../_images/fig_fc213076.png

(a) Force constants w.r.t atomic distance

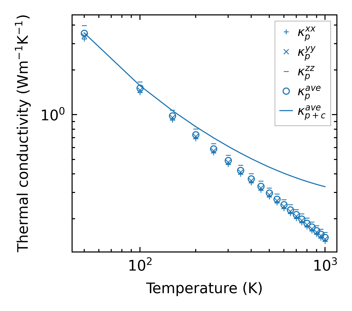
Summary

../../_images/fig_kappa10659.png

(a) Temperature-dependent lattice thermal conductivity

../../_images/fig_times22633.png

(b) Computation time