mp-20546-2/Ba2In2O5/anharm

Equation of state

../../_images/fig_bm6734.png

(a) Equation of state

Harmonic properties

../../_images/fig_bandos_pr13487.png

(a) Phonon dispersion with participation ratio and DOS

../../_images/fig_bandos17843.png

(b) Phonon dispersion and DOS

../../_images/fig_thermo13487.png

(c) Thermodynamic properties

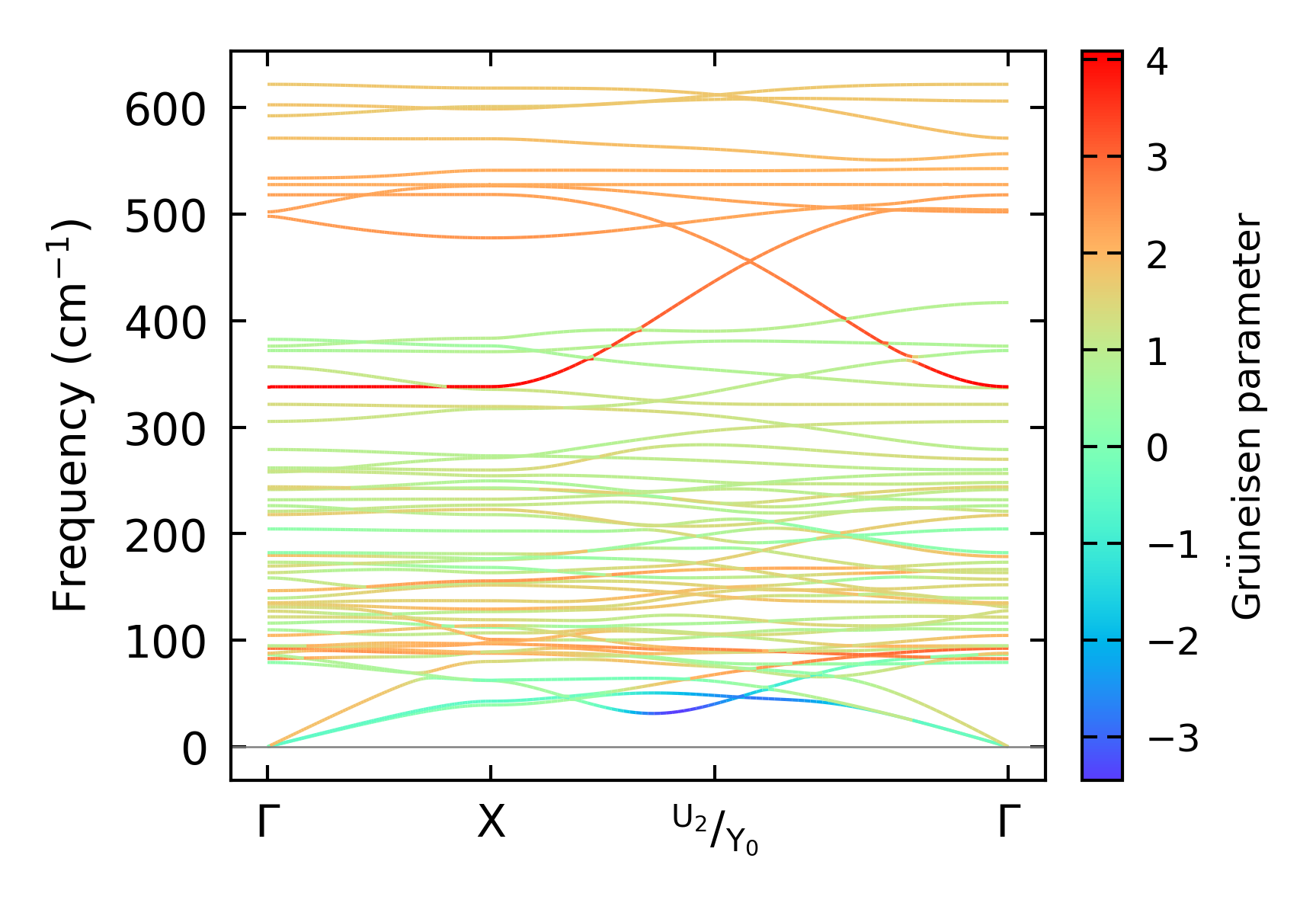
Grüneisen parameters

../../_images/fig_gru_all5700.png

(a) Grüneisen parameters

../../_images/fig_gruneisen5700.png

(b) Phonon dispersion with Grüneisen parameters

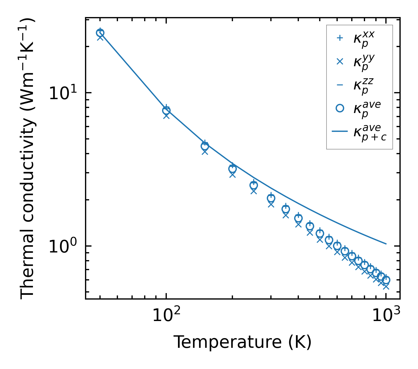
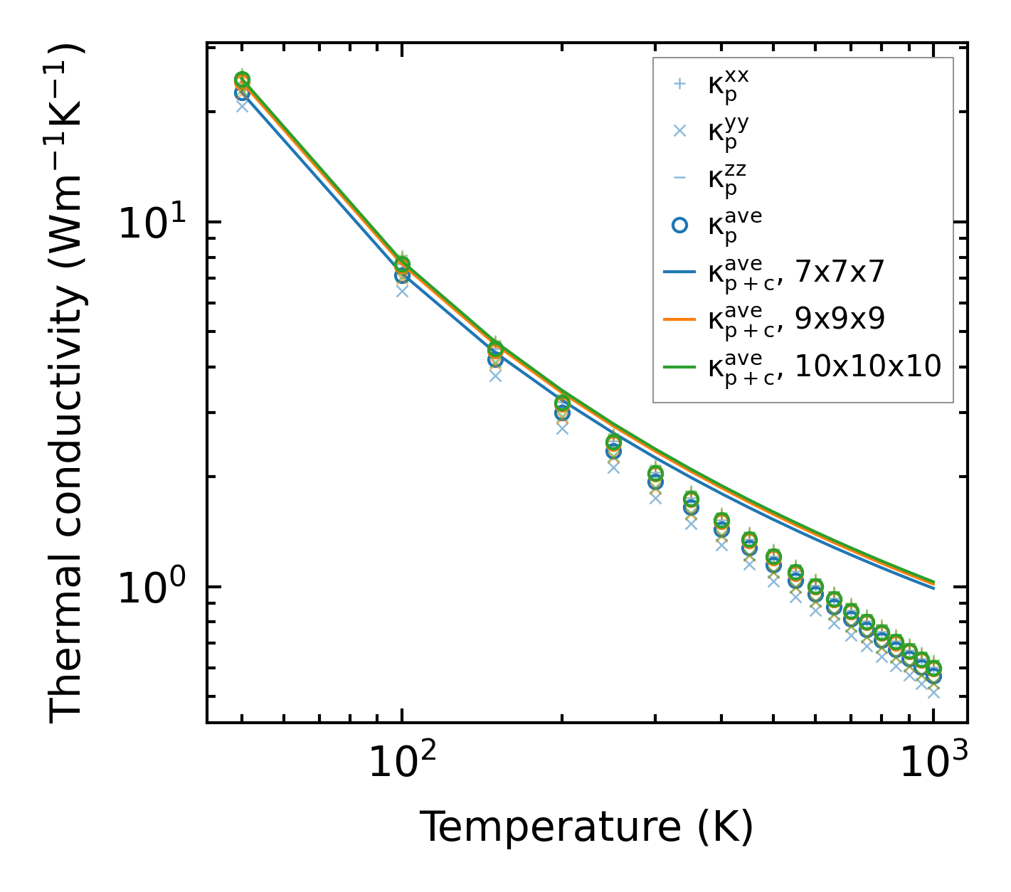
Thermal conductivity

3-phonon (LASSO) — q-mesh: 10x10x10, supercell: 1x2x2

../../_images/fig_kappa10712.png

(a) Temperature-dependent lattice thermal conductivity

../../_images/fig_kappa_vs_grain_size5767.png

(b) Peierls lattice thermal conductivity w.r.t grain size

Phonon lifetime and scattering rates

../../_images/fig_lifetime5645.png

(a) Phonon lifetime due to phonon-phonon scattering

../../_images/fig_scat_rates5644.png

(b) Phonon scattering rates

Cumulative and spectral thermal conductivity

../../_images/fig_cumu_frequency5645.png

(a) Spectral and cumulative thermal conductivity w.r.t frequency

../../_images/fig_cumu_mfp5644.png

(b) Spectral and cumulative thermal conductivity w.r.t MFP

Force constants

../../_images/fig_fc213122.png

(a) Force constants w.r.t atomic distance

Summary

../../_images/fig_kappa10713.png

(a) Temperature-dependent lattice thermal conductivity

../../_images/fig_times22690.png

(b) Computation time