mp-20374/Ho2CN2O2/anharm

Harmonic properties

../../_images/fig_bandos_pr13467.png

(a) Phonon dispersion with participation ratio and DOS

../../_images/fig_thermo13467.png

(b) Thermodynamic properties

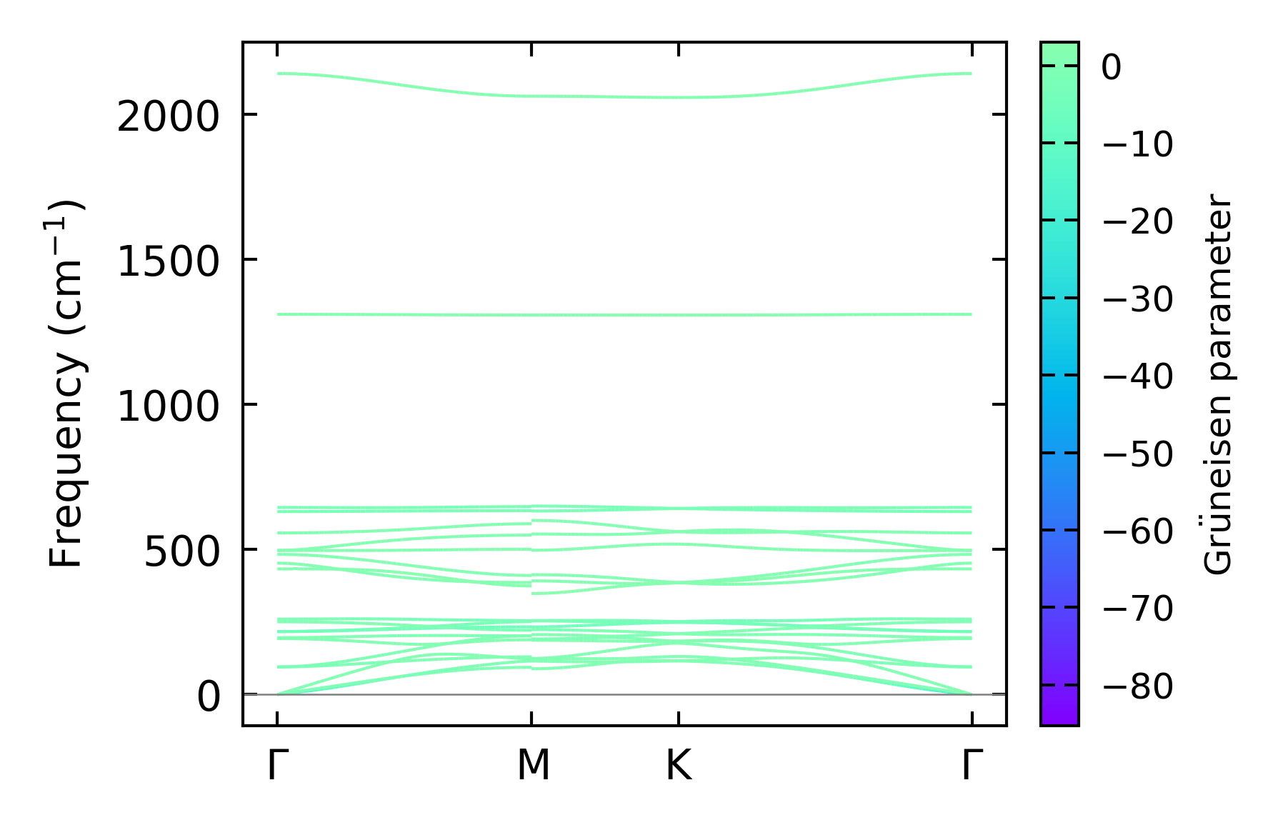
Grüneisen parameters

../../_images/fig_gru_all5688.png

(a) Grüneisen parameters

../../_images/fig_gruneisen5688.png

(b) Phonon dispersion with Grüneisen parameters

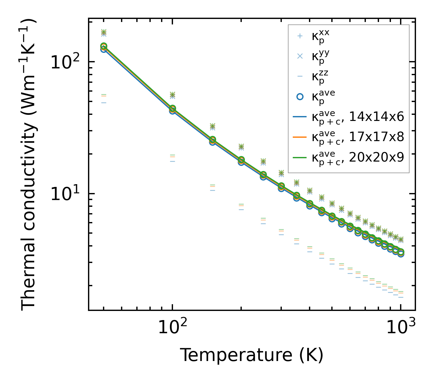
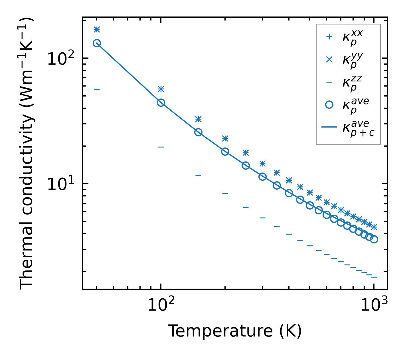
Thermal conductivity

3-phonon (LASSO) — q-mesh: 20x20x9, supercell: 3x3x2

../../_images/fig_kappa10688.png

(a) Temperature-dependent lattice thermal conductivity

../../_images/fig_kappa_vs_grain_size5754.png

(b) Peierls lattice thermal conductivity w.r.t grain size

Phonon lifetime and scattering rates

../../_images/fig_lifetime5633.png

(a) Phonon lifetime due to phonon-phonon scattering

../../_images/fig_scat_rates5632.png

(b) Phonon scattering rates

Cumulative and spectral thermal conductivity

../../_images/fig_cumu_frequency5633.png

(a) Spectral and cumulative thermal conductivity w.r.t frequency

../../_images/fig_cumu_mfp5632.png

(b) Spectral and cumulative thermal conductivity w.r.t MFP

Force constants

../../_images/fig_fc213103.png

(a) Force constants w.r.t atomic distance

Summary

../../_images/fig_kappa10689.png

(a) Temperature-dependent lattice thermal conductivity

../../_images/fig_times22662.png

(b) Computation time