mp-20015/As2PbO6/anharm

Harmonic properties

../../_images/fig_bandos_pr13420.png

(a) Phonon dispersion with participation ratio and DOS

../../_images/fig_thermo13420.png

(b) Thermodynamic properties

Grüneisen parameters

../../_images/fig_gru_all5661.png

(a) Grüneisen parameters

../../_images/fig_gruneisen5661.png

(b) Phonon dispersion with Grüneisen parameters

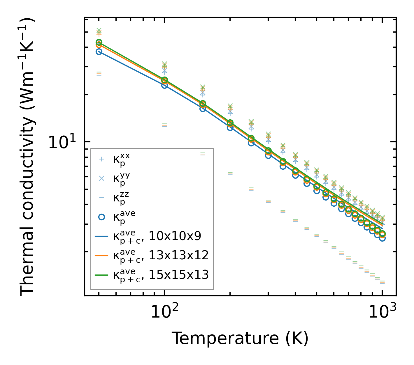
Thermal conductivity

3-phonon (LASSO) — q-mesh: 15x15x13, supercell: 2x2x2

../../_images/fig_kappa10637.png

(a) Temperature-dependent lattice thermal conductivity

../../_images/fig_kappa_vs_grain_size5727.png

(b) Peierls lattice thermal conductivity w.r.t grain size

Phonon lifetime and scattering rates

../../_images/fig_lifetime5606.png

(a) Phonon lifetime due to phonon-phonon scattering

../../_images/fig_scat_rates5605.png

(b) Phonon scattering rates

Cumulative and spectral thermal conductivity

../../_images/fig_cumu_frequency5606.png

(a) Spectral and cumulative thermal conductivity w.r.t frequency

../../_images/fig_cumu_mfp5605.png

(b) Spectral and cumulative thermal conductivity w.r.t MFP

Force constants

../../_images/fig_fc213057.png

(a) Force constants w.r.t atomic distance

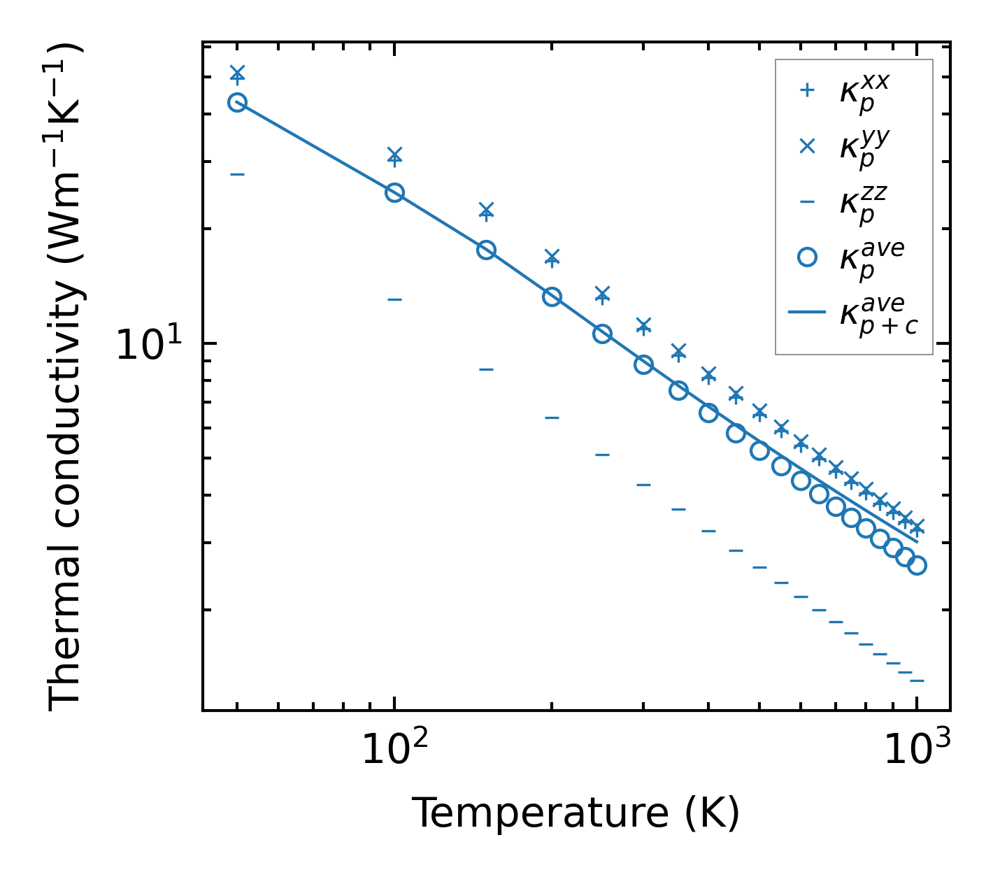
Summary

../../_images/fig_kappa10638.png

(a) Temperature-dependent lattice thermal conductivity

../../_images/fig_times22605.png

(b) Computation time