mp-20694-2/K2Pb2O3/harm

Equation of state

../../_images/fig_bm6740.png

(a) Equation of state

Harmonic properties

../../_images/fig_bandos_pr13493.png

(a) Phonon dispersion with participation ratio and DOS

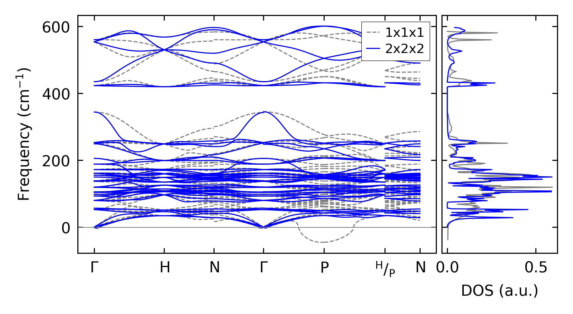
../../_images/fig_bandos17855.png

(b) Phonon dispersion and DOS

../../_images/fig_thermo13493.png

(c) Thermodynamic properties

Force constants

../../_images/fig_fc213128.png

(a) Force constants w.r.t atomic distance

Summary

../../_images/fig_times22705.png

(a) Computation time