mp-20331/CuSbSe2/anharm

Harmonic properties

../../_images/fig_bandos_pr13461.png

(a) Phonon dispersion with participation ratio and DOS

../../_images/fig_thermo13461.png

(b) Thermodynamic properties

Grüneisen parameters

../../_images/fig_gru_all5686.png

(a) Grüneisen parameters

../../_images/fig_gruneisen5686.png

(b) Phonon dispersion with Grüneisen parameters

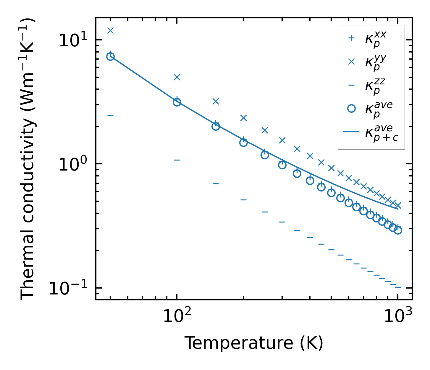
Thermal conductivity

3-phonon (LASSO) — q-mesh: 11x18x4, supercell: 2x4x1

../../_images/fig_kappa10684.png

(a) Temperature-dependent lattice thermal conductivity

../../_images/fig_kappa_vs_grain_size5752.png

(b) Peierls lattice thermal conductivity w.r.t grain size

Phonon lifetime and scattering rates

../../_images/fig_lifetime5631.png

(a) Phonon lifetime due to phonon-phonon scattering

../../_images/fig_scat_rates5630.png

(b) Phonon scattering rates

Cumulative and spectral thermal conductivity

../../_images/fig_cumu_frequency5631.png

(a) Spectral and cumulative thermal conductivity w.r.t frequency

../../_images/fig_cumu_mfp5630.png

(b) Spectral and cumulative thermal conductivity w.r.t MFP

Force constants

../../_images/fig_fc213097.png

(a) Force constants w.r.t atomic distance

Summary

../../_images/fig_kappa10685.png

(a) Temperature-dependent lattice thermal conductivity

../../_images/fig_times22656.png

(b) Computation time