mp-20185/LuNiSb/anharm

Harmonic properties

../../_images/fig_bandos_pr13435.png

(a) Phonon dispersion with participation ratio and DOS

../../_images/fig_thermo13435.png

(b) Thermodynamic properties

Grüneisen parameters

../../_images/fig_gru_all5670.png

(a) Grüneisen parameters

../../_images/fig_gruneisen5670.png

(b) Phonon dispersion with Grüneisen parameters

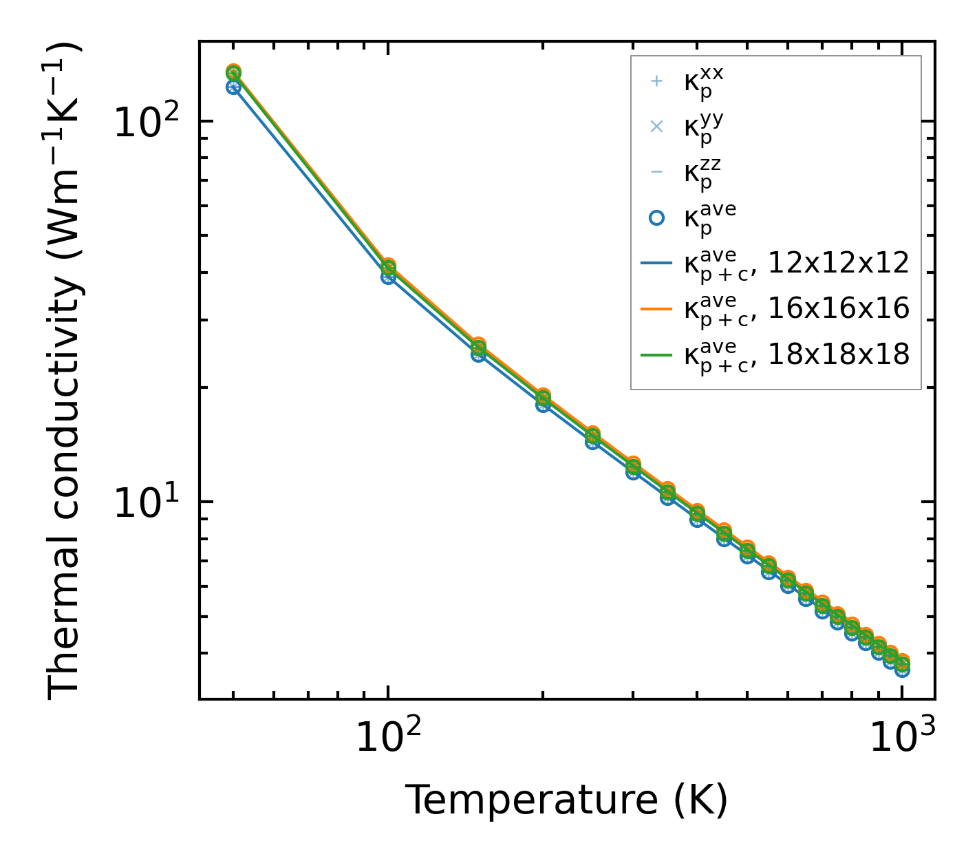
Thermal conductivity

3-phonon — q-mesh: 18x18x18, supercell: 2x2x2

../../_images/fig_kappa10652.png

(a) Temperature-dependent lattice thermal conductivity

../../_images/fig_kappa_vs_grain_size5736.png

(b) Peierls lattice thermal conductivity w.r.t grain size

Phonon lifetime and scattering rates

../../_images/fig_lifetime5615.png

(a) Phonon lifetime due to phonon-phonon scattering

../../_images/fig_scat_rates5614.png

(b) Phonon scattering rates

Cumulative and spectral thermal conductivity

../../_images/fig_cumu_frequency5615.png

(a) Spectral and cumulative thermal conductivity w.r.t frequency

../../_images/fig_cumu_mfp5614.png

(b) Spectral and cumulative thermal conductivity w.r.t MFP

Force constants

../../_images/fig_fc3364.png

(a) Force constants w.r.t atomic distance

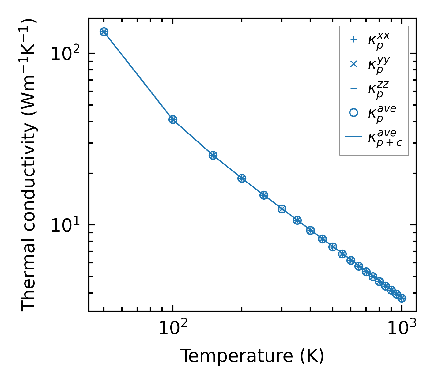
Summary

../../_images/fig_kappa10653.png

(a) Temperature-dependent lattice thermal conductivity

../../_images/fig_times22628.png

(b) Computation time