mp-20606-2/Tb3In5S12/anharm

Equation of state

../../_images/fig_bm6737.png

(a) Equation of state

Harmonic properties

../../_images/fig_bandos_pr13489.png

(a) Phonon dispersion with participation ratio and DOS

../../_images/fig_bandos17849.png

(b) Phonon dispersion and DOS

../../_images/fig_thermo13489.png

(c) Thermodynamic properties

Grüneisen parameters

../../_images/fig_gru_all5702.png

(a) Grüneisen parameters

../../_images/fig_gruneisen5702.png

(b) Phonon dispersion with Grüneisen parameters

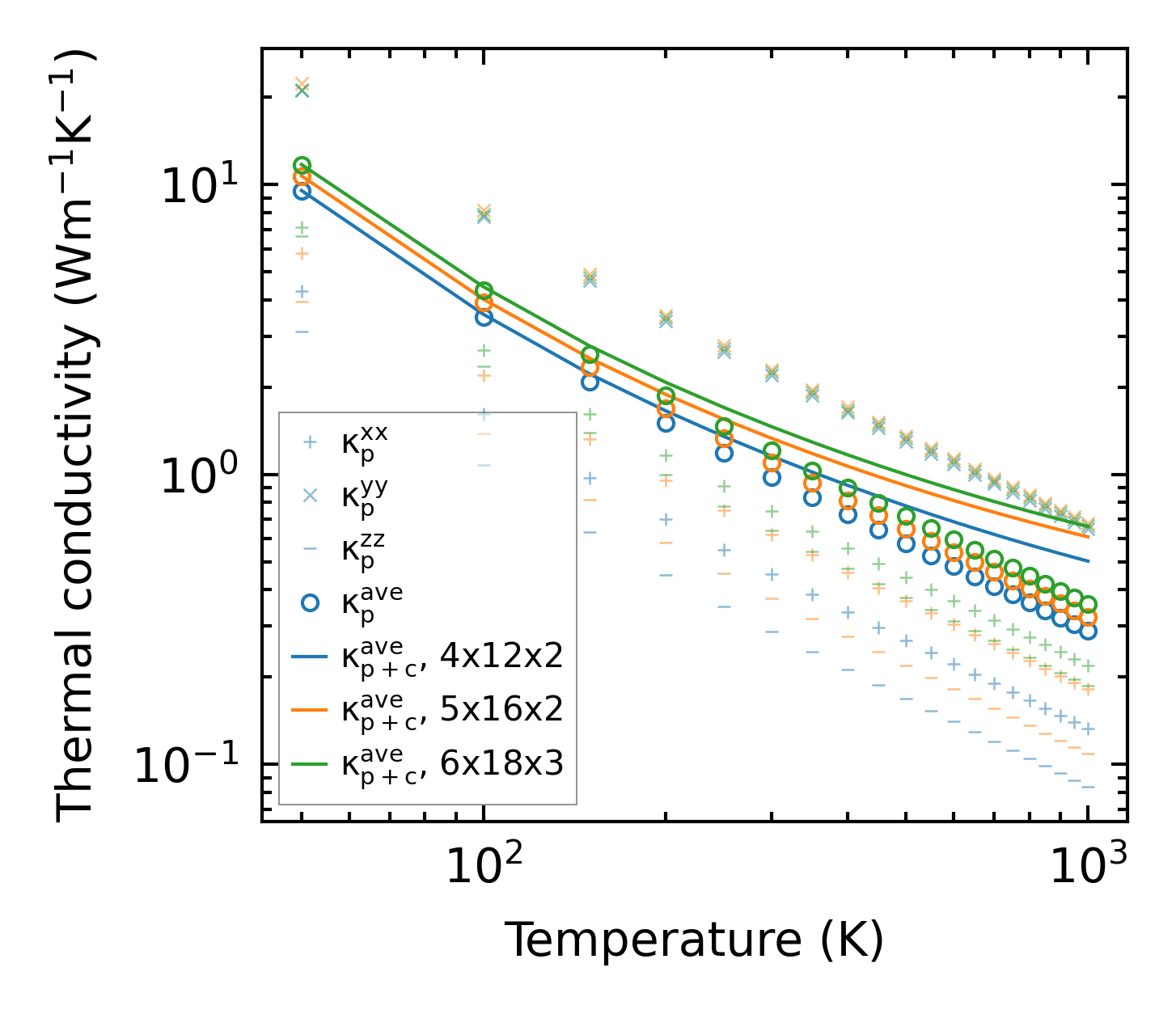
Thermal conductivity

3-phonon (LASSO) — q-mesh: 6x18x3, supercell: 1x3x1

../../_images/fig_kappa10716.png

(a) Temperature-dependent lattice thermal conductivity

../../_images/fig_kappa_vs_grain_size5769.png

(b) Peierls lattice thermal conductivity w.r.t grain size

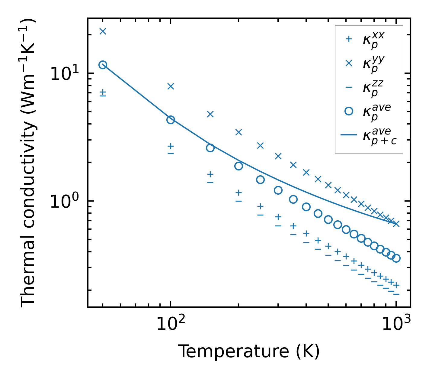
3-phonon (LASSO), supercell 2x3x1 — q-mesh: 6x18x3, supercell: 2x3x1

../../_images/fig_kappa10717.png

(a) Temperature-dependent lattice thermal conductivity

../../_images/fig_kappa_vs_grain_size5770.png

(b) Peierls lattice thermal conductivity w.r.t grain size

Phonon lifetime and scattering rates

../../_images/fig_lifetime5647.png

(a) Phonon lifetime due to phonon-phonon scattering

../../_images/fig_scat_rates5646.png

(b) Phonon scattering rates

Cumulative and spectral thermal conductivity

../../_images/fig_cumu_frequency5647.png

(a) Spectral and cumulative thermal conductivity w.r.t frequency

../../_images/fig_cumu_mfp5646.png

(b) Spectral and cumulative thermal conductivity w.r.t MFP

Force constants

../../_images/fig_fc213124.png

(a) Force constants w.r.t atomic distance

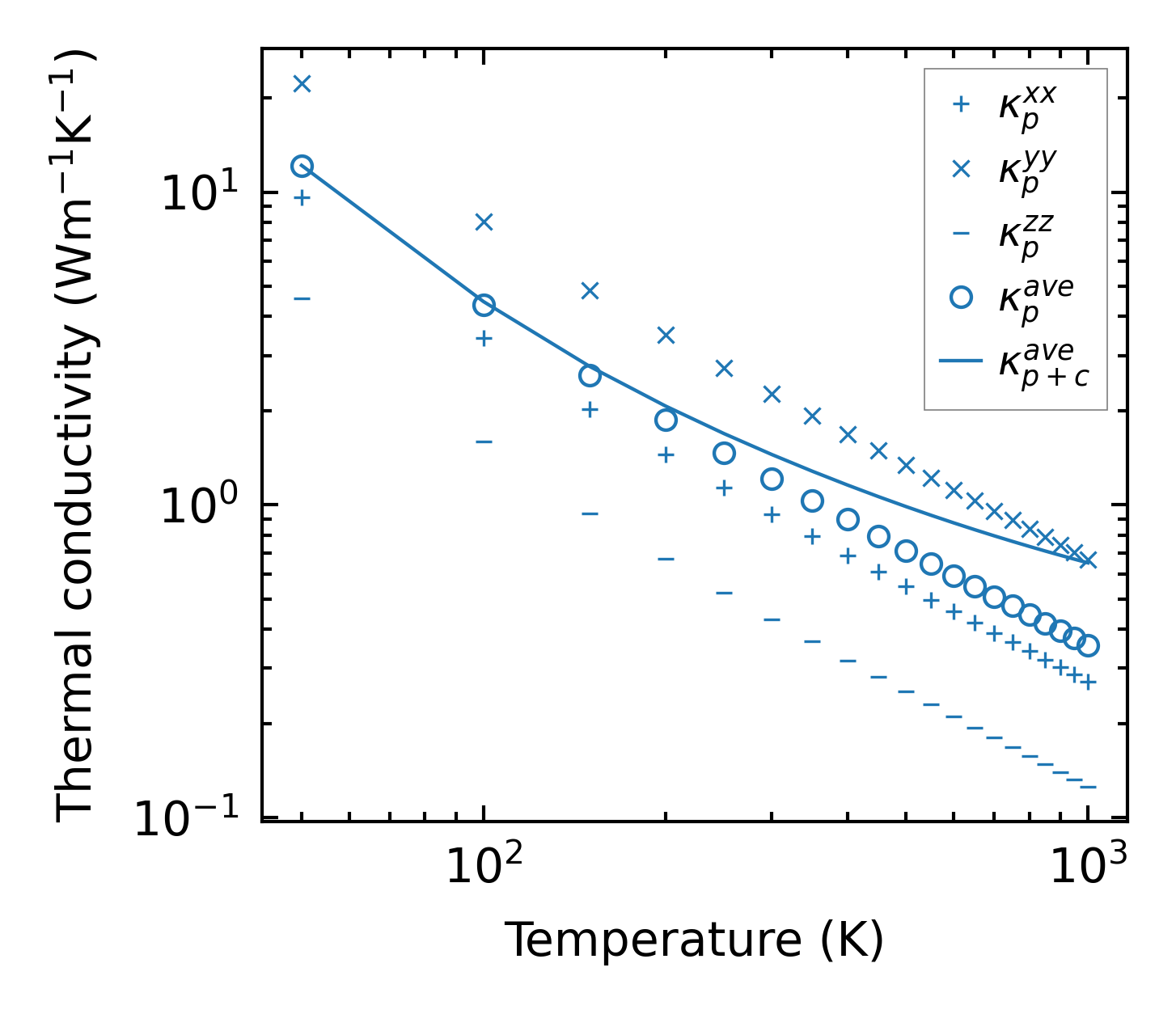
Summary

../../_images/fig_kappa10718.png

(a) Temperature-dependent lattice thermal conductivity

../../_images/fig_times22697.png

(b) Computation time