mp-989643/LaCoN3/anharm

Harmonic properties

../../_images/fig_bandos_pr870.png

(a) Phonon dispersion with participation ratio and DOS

../../_images/fig_thermo870.png

(b) Thermodynamic properties

Grüneisen parameters

../../_images/fig_gru_all548.png

(a) Grüneisen parameters

../../_images/fig_gruneisen548.png

(b) Phonon dispersion with Grüneisen parameters

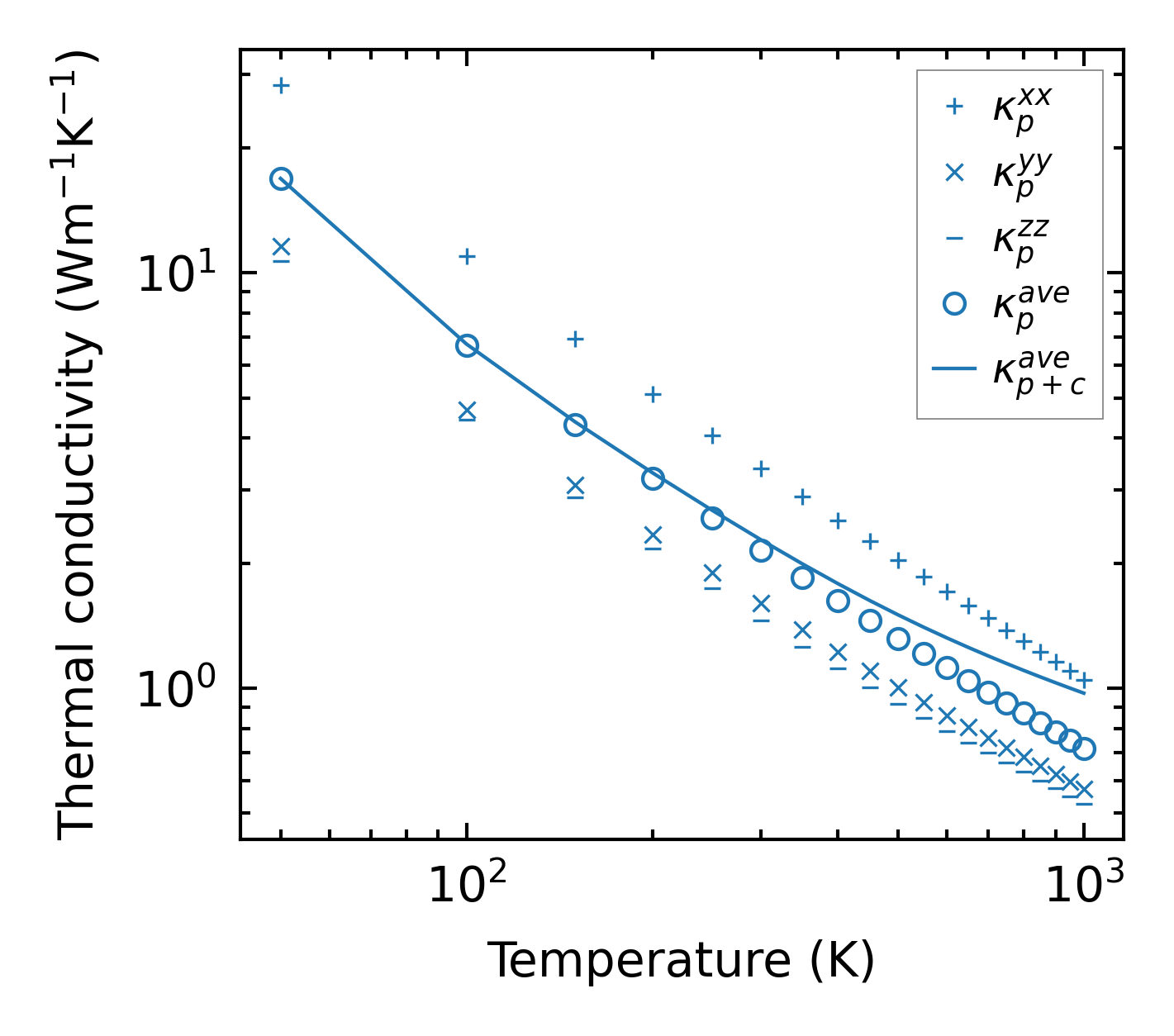
Thermal conductivity

3-phonon (LASSO) — q-mesh: 14x14x11, supercell: 1x3x2

../../_images/fig_kappa1068.png

(a) Temperature-dependent lattice thermal conductivity

../../_images/fig_kappa_vs_grain_size555.png

(b) Peierls lattice thermal conductivity w.r.t grain size

Phonon lifetime and scattering rates

../../_images/fig_lifetime546.png

(a) Phonon lifetime due to phonon-phonon scattering

../../_images/fig_scat_rates545.png

(b) Phonon scattering rates

Cumulative and spectral thermal conductivity

../../_images/fig_cumu_frequency546.png

(a) Spectral and cumulative thermal conductivity w.r.t frequency

../../_images/fig_cumu_mfp546.png

(b) Spectral and cumulative thermal conductivity w.r.t MFP

Force constants

../../_images/fig_fc2765.png

(a) Force constants w.r.t atomic distance

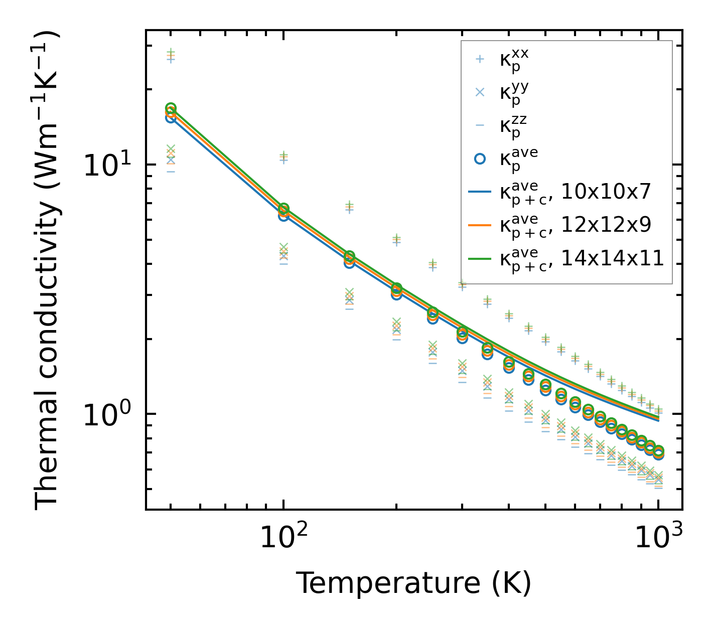
Summary

../../_images/fig_kappa1069.png

(a) Temperature-dependent lattice thermal conductivity

../../_images/fig_times1281.png

(b) Computation time