mp-989229/MgH8Cl2O12/harm

Harmonic properties

../../_images/fig_bandos_pr785.png

(a) Phonon dispersion with participation ratio and DOS

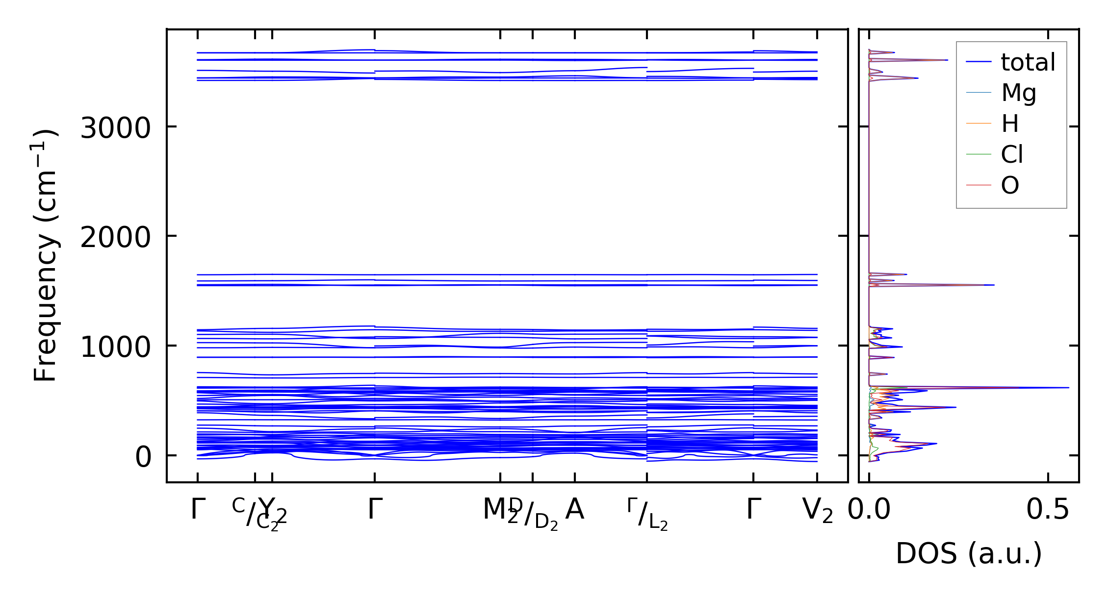
../../_images/fig_bandos693.png

(b) Phonon dispersion and DOS

../../_images/fig_thermo785.png

(c) Thermodynamic properties

Force constants

../../_images/fig_fc2686.png

(a) Force constants w.r.t atomic distance

Summary

../../_images/fig_times1185.png

(a) Computation time