mp-989642/Cs2NaAlH6/anharm

Harmonic properties

../../_images/fig_bandos_pr869.png

(a) Phonon dispersion with participation ratio and DOS

../../_images/fig_thermo869.png

(b) Thermodynamic properties

Grüneisen parameters

../../_images/fig_gru_all547.png

(a) Grüneisen parameters

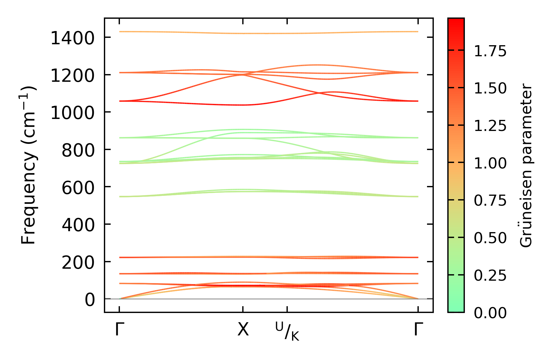
../../_images/fig_gruneisen547.png

(b) Phonon dispersion with Grüneisen parameters

Thermal conductivity

3-phonon (LASSO) — q-mesh: 13x13x13, supercell: 1x1x1

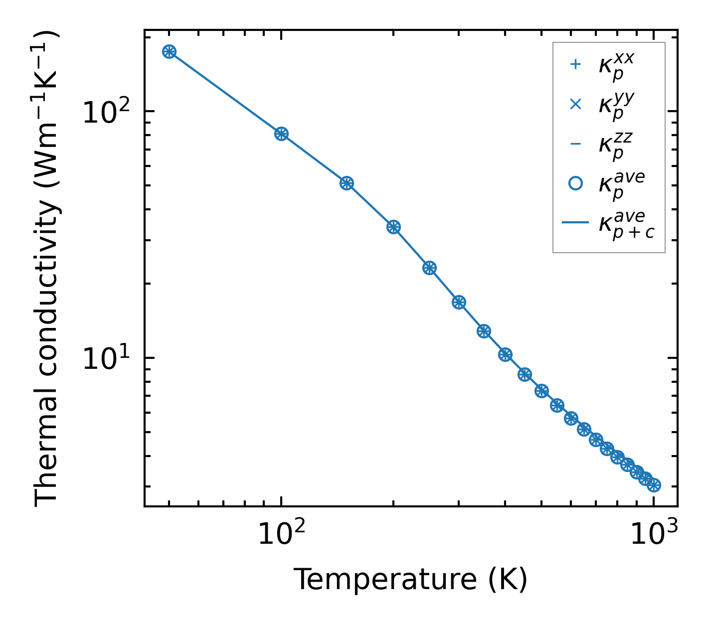
../../_images/fig_kappa1066.png

(a) Temperature-dependent lattice thermal conductivity

../../_images/fig_kappa_vs_grain_size554.png

(b) Peierls lattice thermal conductivity w.r.t grain size

Phonon lifetime and scattering rates

../../_images/fig_lifetime545.png

(a) Phonon lifetime due to phonon-phonon scattering

../../_images/fig_scat_rates544.png

(b) Phonon scattering rates

Cumulative and spectral thermal conductivity

../../_images/fig_cumu_frequency545.png

(a) Spectral and cumulative thermal conductivity w.r.t frequency

../../_images/fig_cumu_mfp545.png

(b) Spectral and cumulative thermal conductivity w.r.t MFP

Force constants

../../_images/fig_fc2764.png

(a) Force constants w.r.t atomic distance

Summary

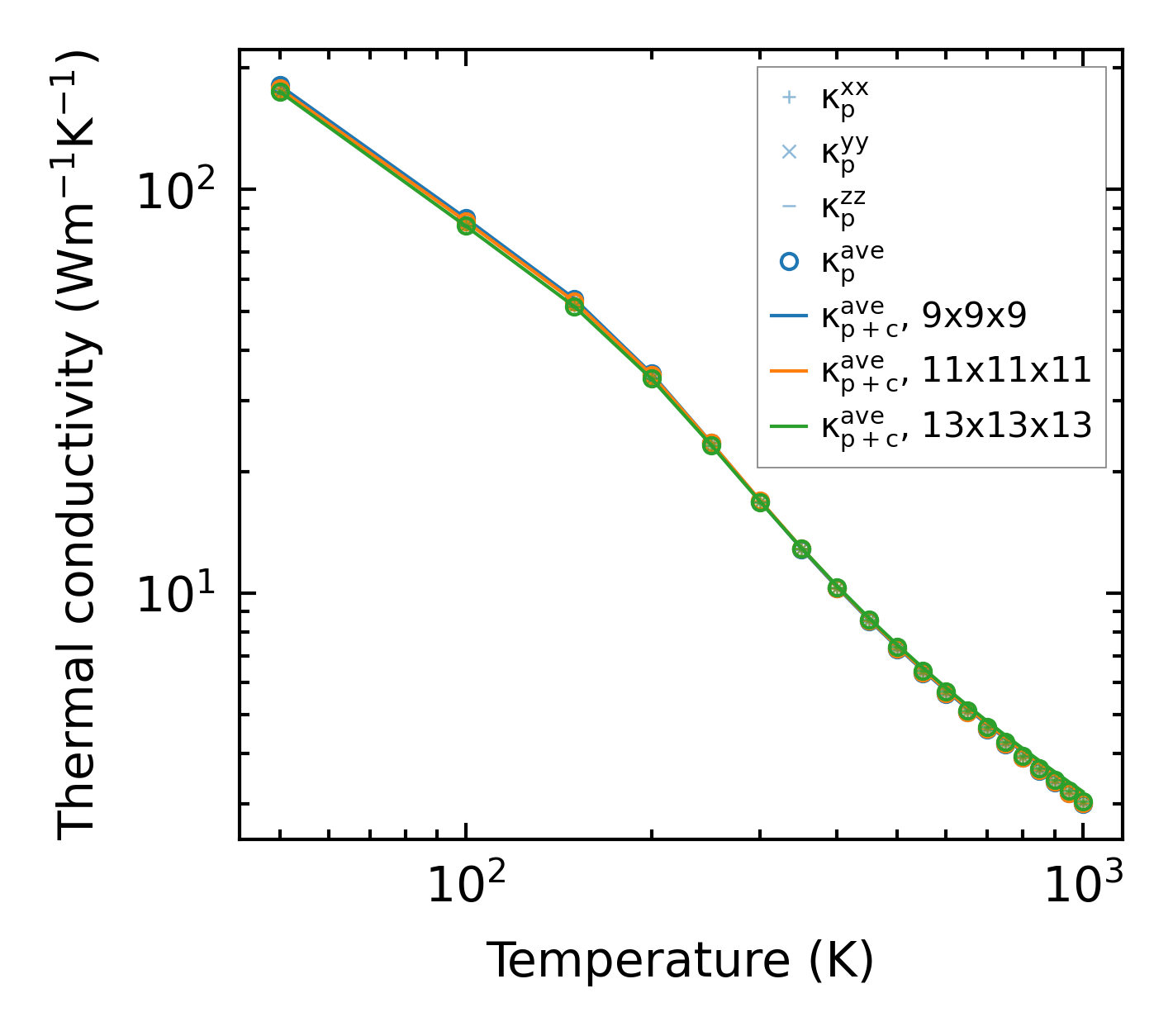
../../_images/fig_kappa1067.png

(a) Temperature-dependent lattice thermal conductivity

../../_images/fig_times1280.png

(b) Computation time