mp-989405/Cs2LiInBr6/anharm

Harmonic properties

../../_images/fig_bandos_pr788.png

(a) Phonon dispersion with participation ratio and DOS

../../_images/fig_thermo788.png

(b) Thermodynamic properties

Grüneisen parameters

../../_images/fig_gru_all536.png

(a) Grüneisen parameters

../../_images/fig_gruneisen536.png

(b) Phonon dispersion with Grüneisen parameters

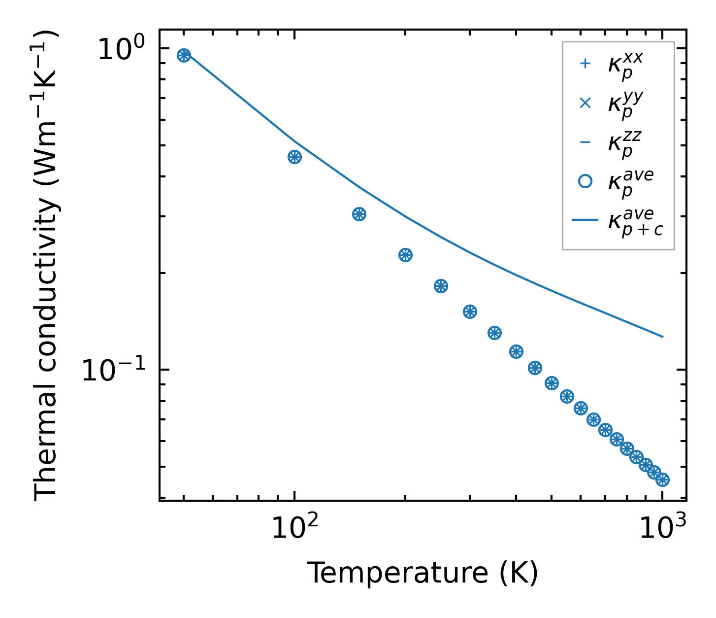
Thermal conductivity

3-phonon — q-mesh: 10x10x10, supercell: 1x1x1

../../_images/fig_kappa1044.png

(a) Temperature-dependent lattice thermal conductivity

../../_images/fig_kappa_vs_grain_size543.png

(b) Peierls lattice thermal conductivity w.r.t grain size

Phonon lifetime and scattering rates

../../_images/fig_lifetime534.png

(a) Phonon lifetime due to phonon-phonon scattering

../../_images/fig_scat_rates533.png

(b) Phonon scattering rates

Cumulative and spectral thermal conductivity

../../_images/fig_cumu_frequency534.png

(a) Spectral and cumulative thermal conductivity w.r.t frequency

../../_images/fig_cumu_mfp534.png

(b) Spectral and cumulative thermal conductivity w.r.t MFP

Force constants

../../_images/fig_fc399.png

(a) Force constants w.r.t atomic distance

Summary

../../_images/fig_kappa1045.png

(a) Temperature-dependent lattice thermal conductivity

../../_images/fig_times1189.png

(b) Computation time