mp-989229-2/MgH8Cl2O12/harm

Equation of state

../../_images/fig_bm306.png

(a) Equation of state

Harmonic properties

../../_images/fig_bandos_pr786.png

(a) Phonon dispersion with participation ratio and DOS

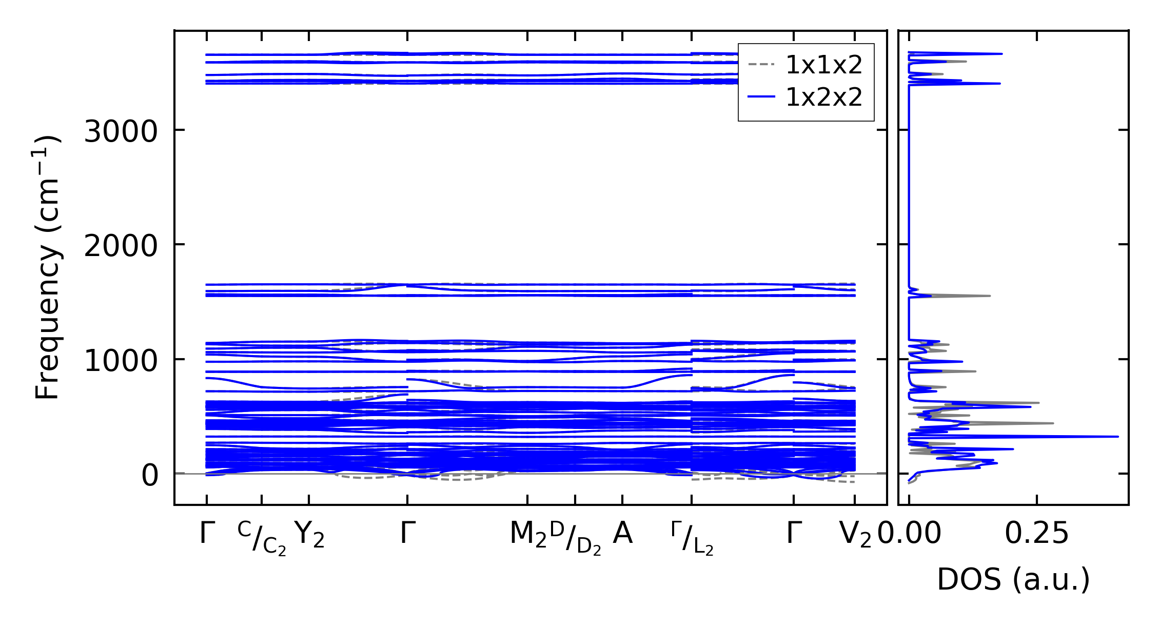
../../_images/fig_bandos694.png

(b) Phonon dispersion and DOS

../../_images/fig_thermo786.png

(c) Thermodynamic properties

Force constants

../../_images/fig_fc2687.png

(a) Force constants w.r.t atomic distance

Summary

../../_images/fig_times1186.png

(a) Computation time