mp-989610/Cs2NaInH6/anharm

Harmonic properties

../../_images/fig_bandos_pr853.png

(a) Phonon dispersion with participation ratio and DOS

../../_images/fig_thermo853.png

(b) Thermodynamic properties

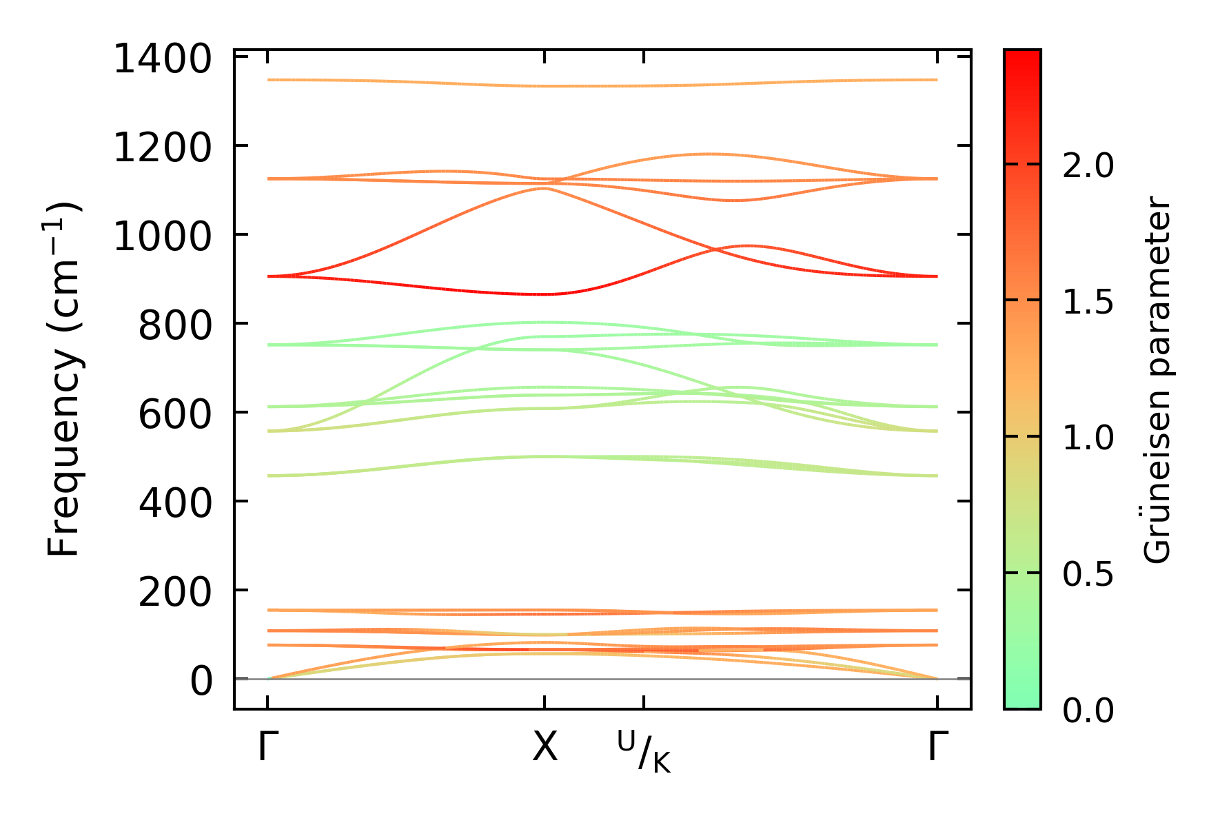
Grüneisen parameters

../../_images/fig_gru_all545.png

(a) Grüneisen parameters

../../_images/fig_gruneisen545.png

(b) Phonon dispersion with Grüneisen parameters

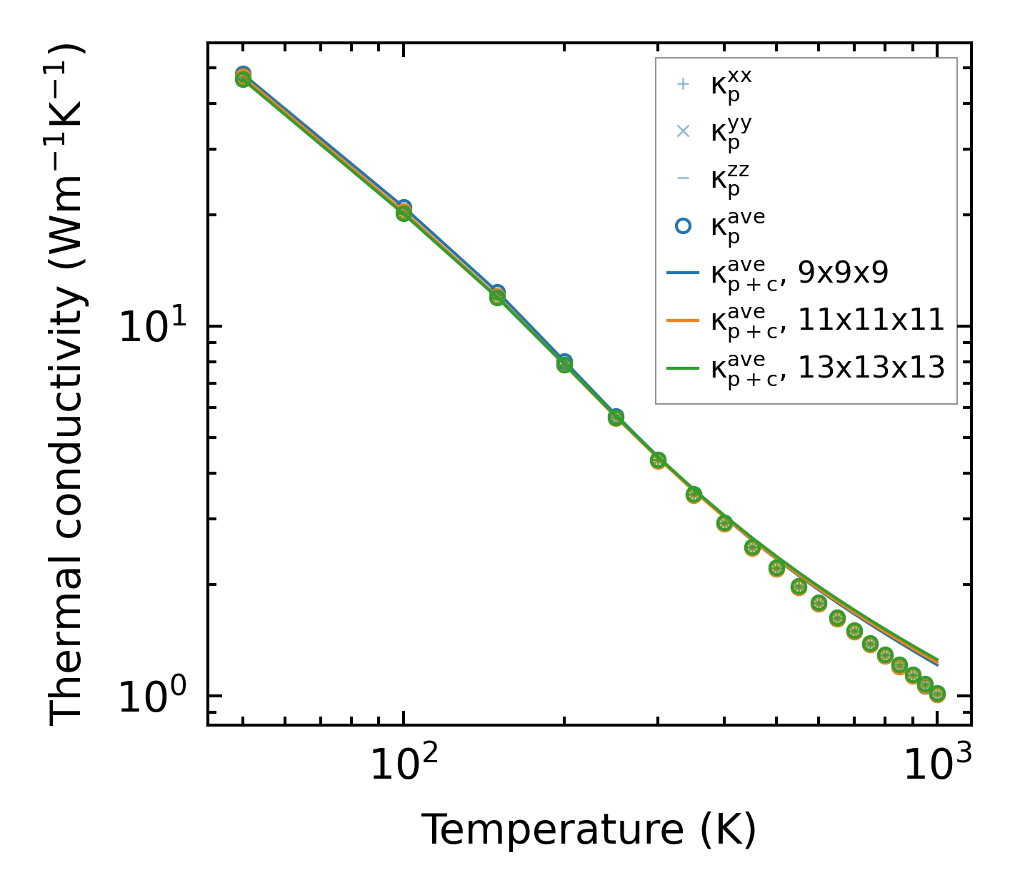
Thermal conductivity

3-phonon — q-mesh: 13x13x13, supercell: 1x1x1

../../_images/fig_kappa1062.png

(a) Temperature-dependent lattice thermal conductivity

../../_images/fig_kappa_vs_grain_size552.png

(b) Peierls lattice thermal conductivity w.r.t grain size

Phonon lifetime and scattering rates

../../_images/fig_lifetime543.png

(a) Phonon lifetime due to phonon-phonon scattering

../../_images/fig_scat_rates542.png

(b) Phonon scattering rates

Cumulative and spectral thermal conductivity

../../_images/fig_cumu_frequency543.png

(a) Spectral and cumulative thermal conductivity w.r.t frequency

../../_images/fig_cumu_mfp543.png

(b) Spectral and cumulative thermal conductivity w.r.t MFP

Force constants

../../_images/fig_fc3104.png

(a) Force constants w.r.t atomic distance

Summary

../../_images/fig_kappa1063.png

(a) Temperature-dependent lattice thermal conductivity

../../_images/fig_times1258.png

(b) Computation time