mp-989609/YWN3/anharm

Harmonic properties

../../_images/fig_bandos_pr852.png

(a) Phonon dispersion with participation ratio and DOS

../../_images/fig_thermo852.png

(b) Thermodynamic properties

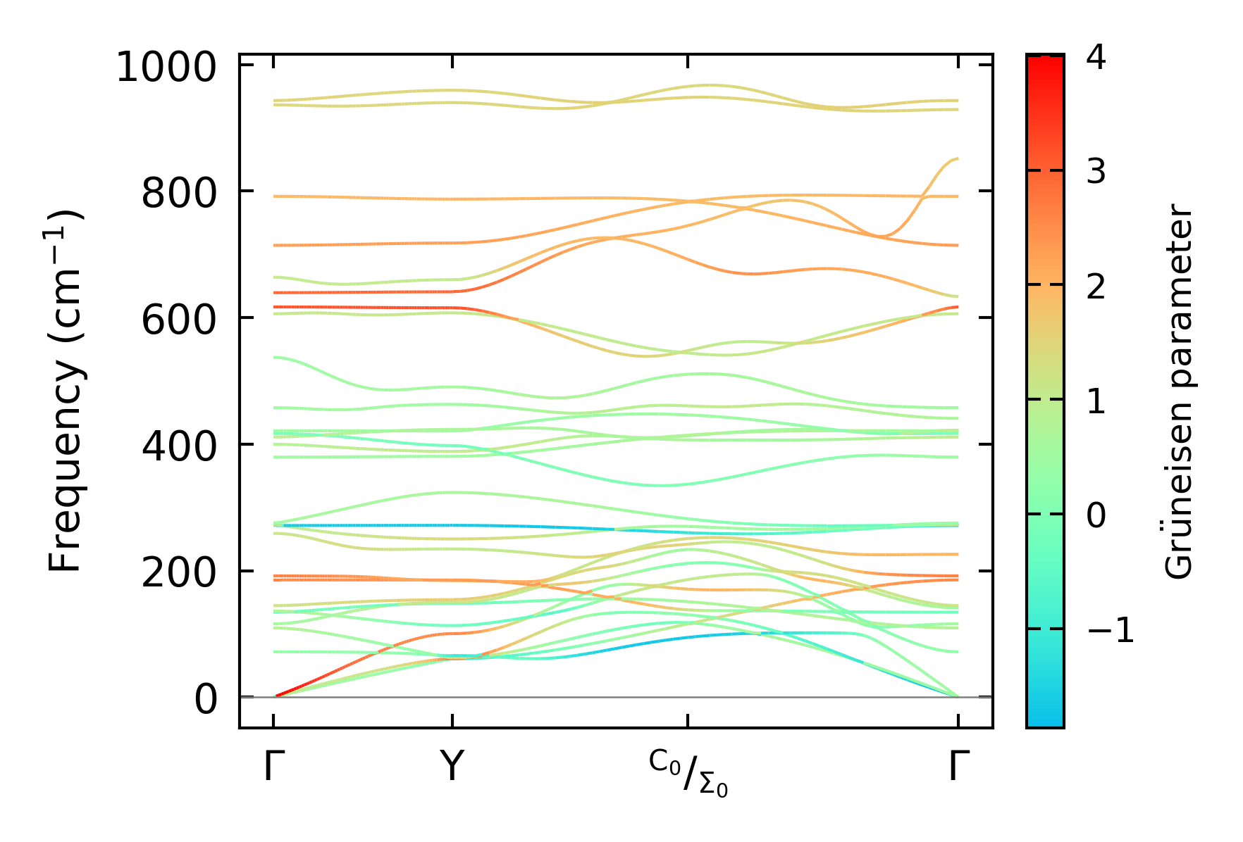
Grüneisen parameters

../../_images/fig_gru_all544.png

(a) Grüneisen parameters

../../_images/fig_gruneisen544.png

(b) Phonon dispersion with Grüneisen parameters

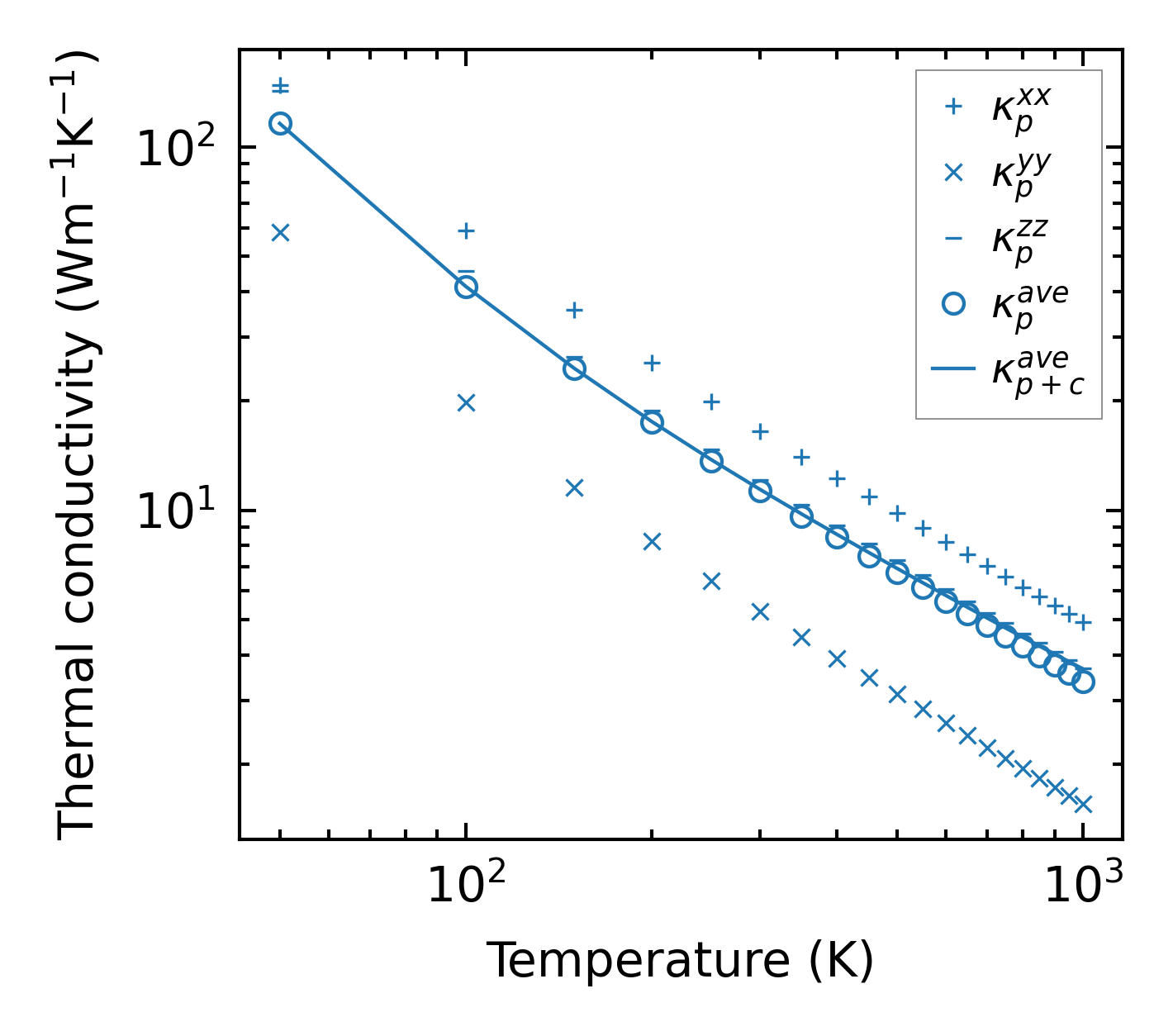
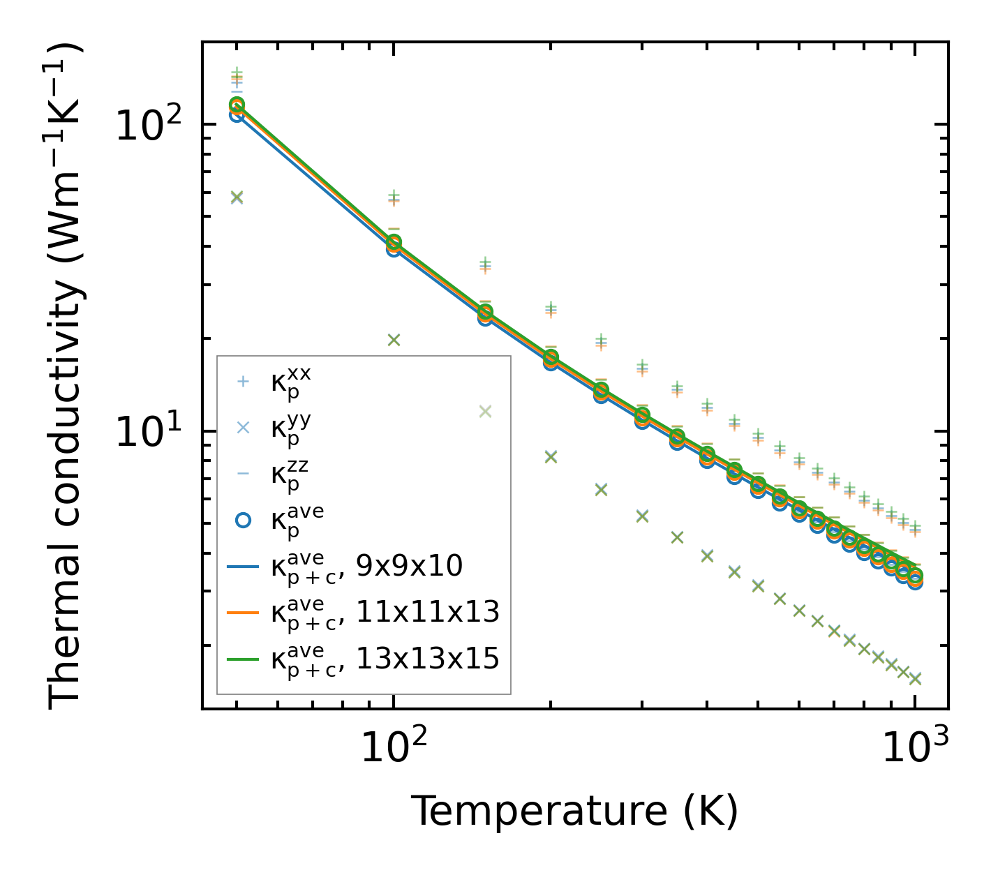
Thermal conductivity

3-phonon (LASSO) — q-mesh: 13x13x15, supercell: 3x1x2

../../_images/fig_kappa1060.png

(a) Temperature-dependent lattice thermal conductivity

../../_images/fig_kappa_vs_grain_size551.png

(b) Peierls lattice thermal conductivity w.r.t grain size

Phonon lifetime and scattering rates

../../_images/fig_lifetime542.png

(a) Phonon lifetime due to phonon-phonon scattering

../../_images/fig_scat_rates541.png

(b) Phonon scattering rates

Cumulative and spectral thermal conductivity

../../_images/fig_cumu_frequency542.png

(a) Spectral and cumulative thermal conductivity w.r.t frequency

../../_images/fig_cumu_mfp542.png

(b) Spectral and cumulative thermal conductivity w.r.t MFP

Force constants

../../_images/fig_fc2748.png

(a) Force constants w.r.t atomic distance

Summary

../../_images/fig_kappa1061.png

(a) Temperature-dependent lattice thermal conductivity

../../_images/fig_times1257.png

(b) Computation time