mp-989571/Cs2NaInCl6/anharm

Harmonic properties

../../_images/fig_bandos_pr831.png

(a) Phonon dispersion with participation ratio and DOS

../../_images/fig_thermo831.png

(b) Thermodynamic properties

Grüneisen parameters

../../_images/fig_gru_all540.png

(a) Grüneisen parameters

../../_images/fig_gruneisen540.png

(b) Phonon dispersion with Grüneisen parameters

Thermal conductivity

3-phonon — q-mesh: 10x10x10, supercell: 1x1x1

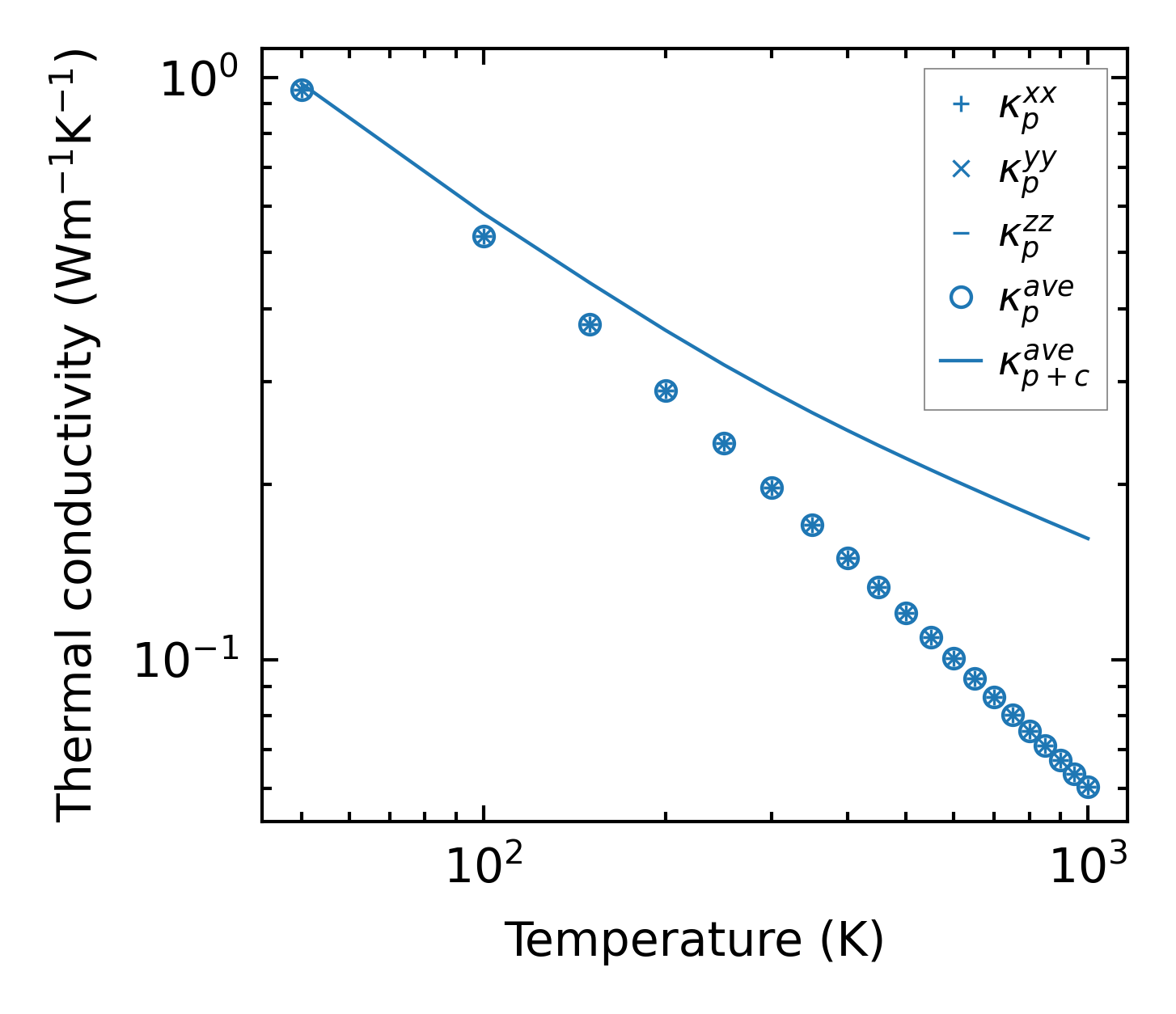
../../_images/fig_kappa1052.png

(a) Temperature-dependent lattice thermal conductivity

../../_images/fig_kappa_vs_grain_size547.png

(b) Peierls lattice thermal conductivity w.r.t grain size

Phonon lifetime and scattering rates

../../_images/fig_lifetime538.png

(a) Phonon lifetime due to phonon-phonon scattering

../../_images/fig_scat_rates537.png

(b) Phonon scattering rates

Cumulative and spectral thermal conductivity

../../_images/fig_cumu_frequency538.png

(a) Spectral and cumulative thermal conductivity w.r.t frequency

../../_images/fig_cumu_mfp538.png

(b) Spectral and cumulative thermal conductivity w.r.t MFP

Force constants

../../_images/fig_fc3102.png

(a) Force constants w.r.t atomic distance

Summary

../../_images/fig_kappa1053.png

(a) Temperature-dependent lattice thermal conductivity

../../_images/fig_times1236.png

(b) Computation time