mp-989531/Cs2KGaF6/anharm

Harmonic properties

../../_images/fig_bandos_pr805.png

(a) Phonon dispersion with participation ratio and DOS

../../_images/fig_thermo805.png

(b) Thermodynamic properties

Grüneisen parameters

../../_images/fig_gru_all537.png

(a) Grüneisen parameters

../../_images/fig_gruneisen537.png

(b) Phonon dispersion with Grüneisen parameters

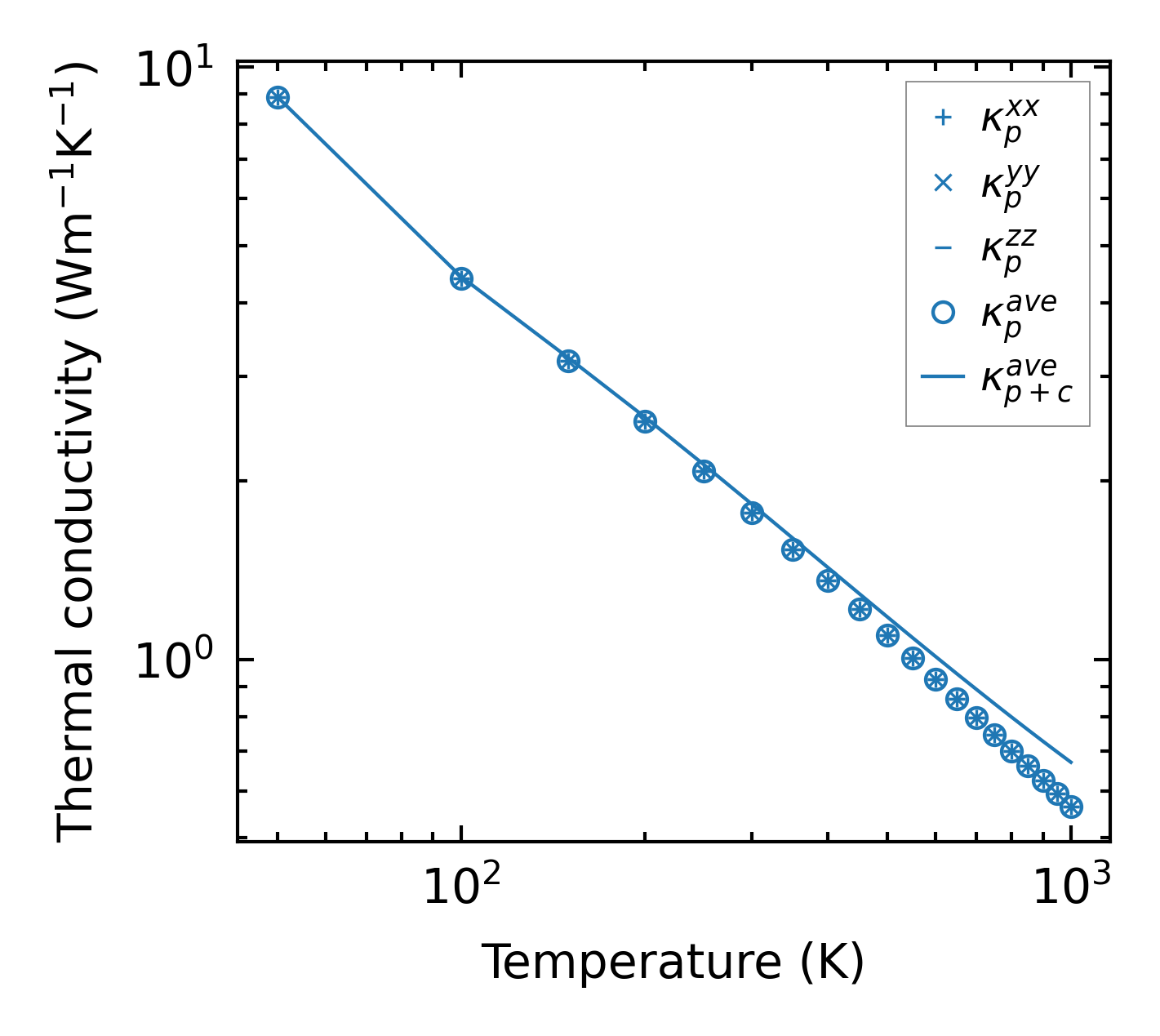
Thermal conductivity

3-phonon — q-mesh: 12x12x12, supercell: 1x1x1

../../_images/fig_kappa1046.png

(a) Temperature-dependent lattice thermal conductivity

../../_images/fig_kappa_vs_grain_size544.png

(b) Peierls lattice thermal conductivity w.r.t grain size

Phonon lifetime and scattering rates

../../_images/fig_lifetime535.png

(a) Phonon lifetime due to phonon-phonon scattering

../../_images/fig_scat_rates534.png

(b) Phonon scattering rates

Cumulative and spectral thermal conductivity

../../_images/fig_cumu_frequency535.png

(a) Spectral and cumulative thermal conductivity w.r.t frequency

../../_images/fig_cumu_mfp535.png

(b) Spectral and cumulative thermal conductivity w.r.t MFP

Force constants

../../_images/fig_fc3100.png

(a) Force constants w.r.t atomic distance

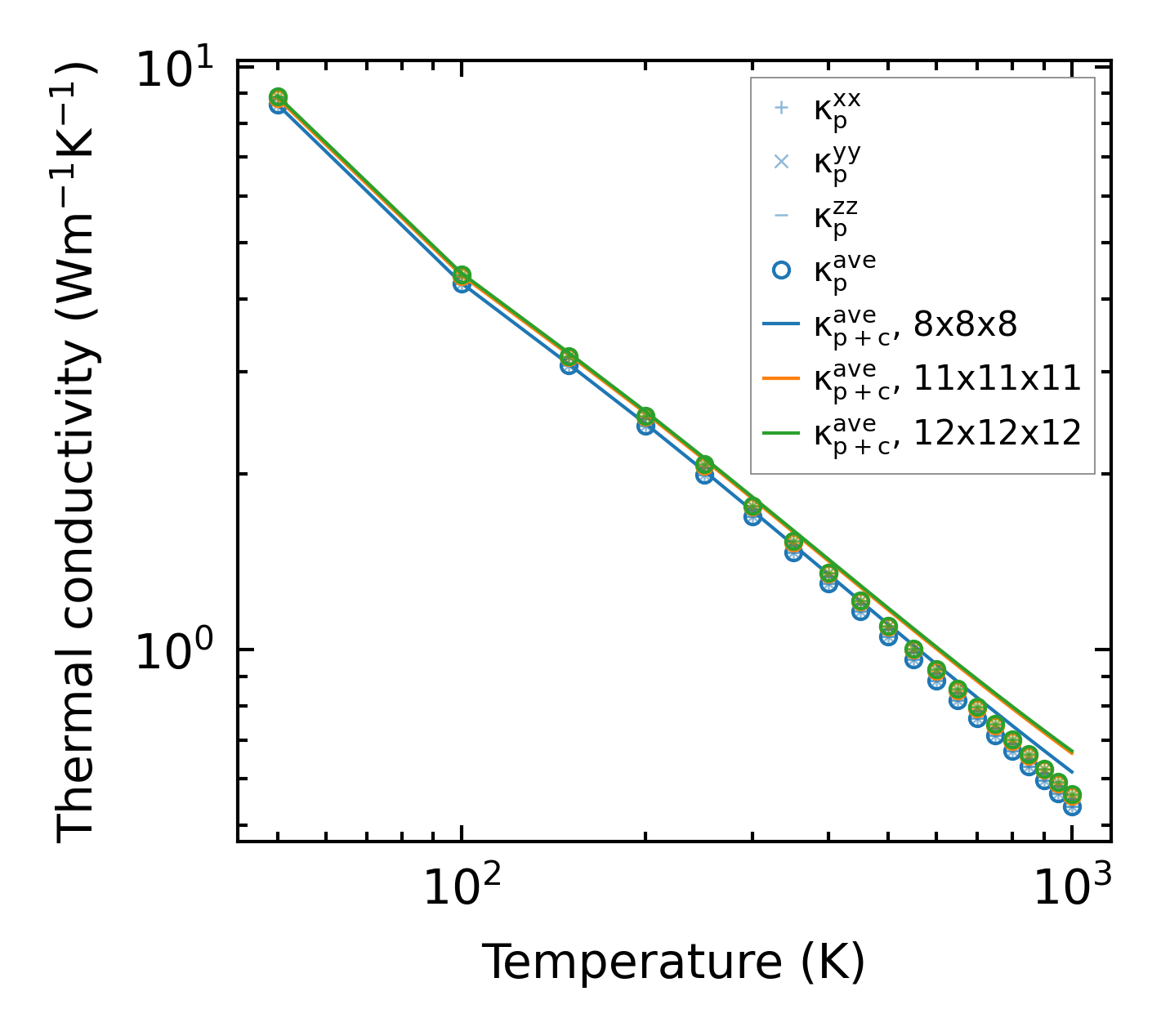
Summary

../../_images/fig_kappa1047.png

(a) Temperature-dependent lattice thermal conductivity

../../_images/fig_times1209.png

(b) Computation time