mp-542951-2/Cs2NaHoCl6/harm

Equation of state

../../_images/fig_bm4705.png

(a) Equation of state

Harmonic properties

../../_images/fig_bandos_pr9364.png

(a) Phonon dispersion with participation ratio and DOS

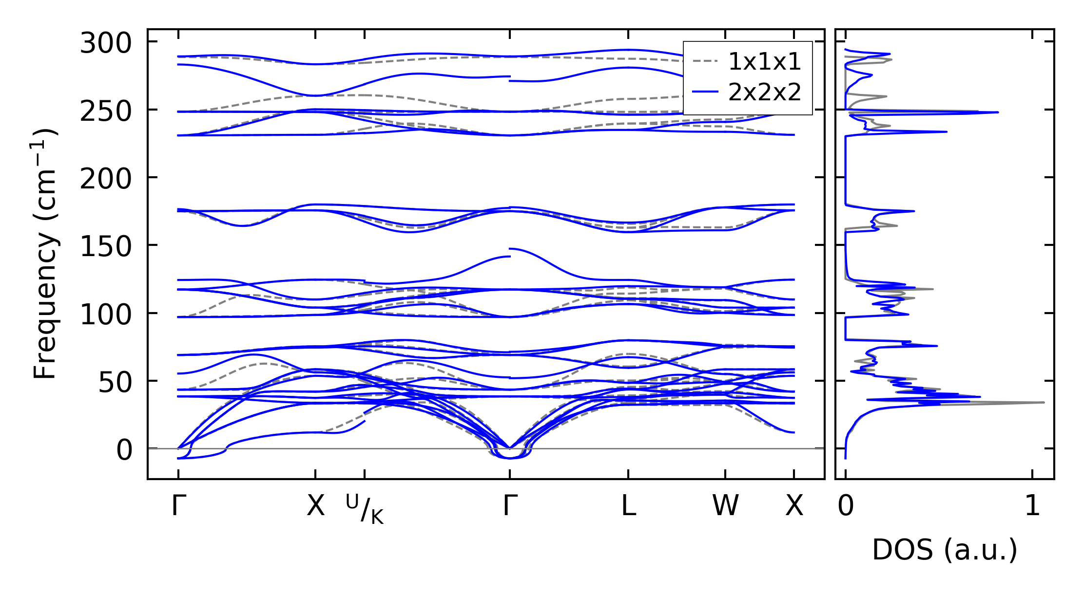
../../_images/fig_bandos13131.png

(b) Phonon dispersion and DOS

../../_images/fig_thermo9364.png

(c) Thermodynamic properties

Force constants

../../_images/fig_fc29126.png

(a) Force constants w.r.t atomic distance

Summary

../../_images/fig_times16318.png

(a) Computation time