mp-542180/ThTe2I2/anharm

Harmonic properties

../../_images/fig_bandos_pr9300.png

(a) Phonon dispersion with participation ratio and DOS

../../_images/fig_thermo9300.png

(b) Thermodynamic properties

Grüneisen parameters

../../_images/fig_gru_all3710.png

(a) Grüneisen parameters

../../_images/fig_gruneisen3710.png

(b) Phonon dispersion with Grüneisen parameters

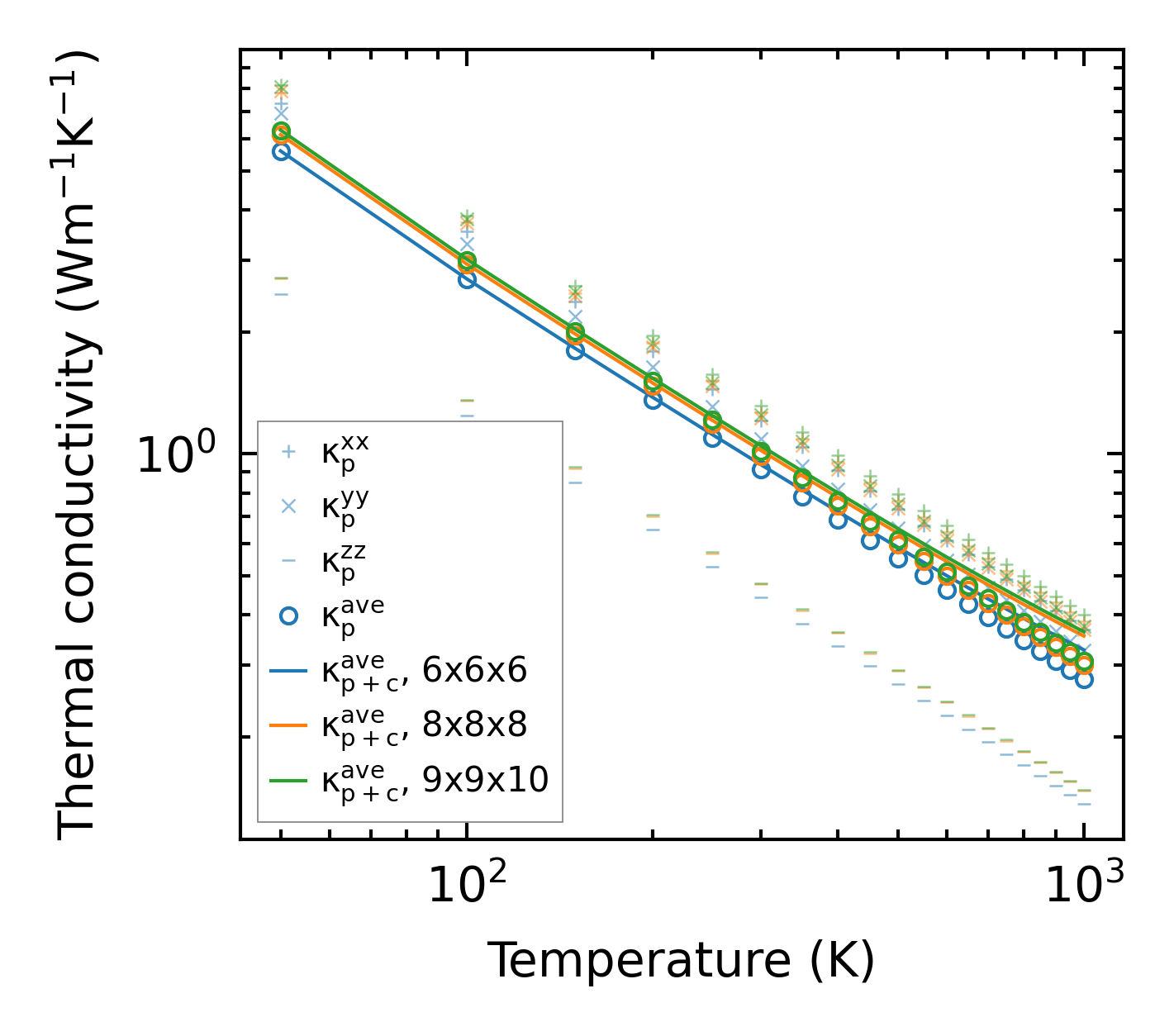
Thermal conductivity

3-phonon (LASSO) — q-mesh: 9x9x10, supercell: 2x1x2

../../_images/fig_kappa7004.png

(a) Temperature-dependent lattice thermal conductivity

../../_images/fig_kappa_vs_grain_size3760.png

(b) Peierls lattice thermal conductivity w.r.t grain size

Phonon lifetime and scattering rates

../../_images/fig_lifetime3676.png

(a) Phonon lifetime due to phonon-phonon scattering

../../_images/fig_scat_rates3675.png

(b) Phonon scattering rates

Cumulative and spectral thermal conductivity

../../_images/fig_cumu_frequency3676.png

(a) Spectral and cumulative thermal conductivity w.r.t frequency

../../_images/fig_cumu_mfp3675.png

(b) Spectral and cumulative thermal conductivity w.r.t MFP

Force constants

../../_images/fig_fc29062.png

(a) Force constants w.r.t atomic distance

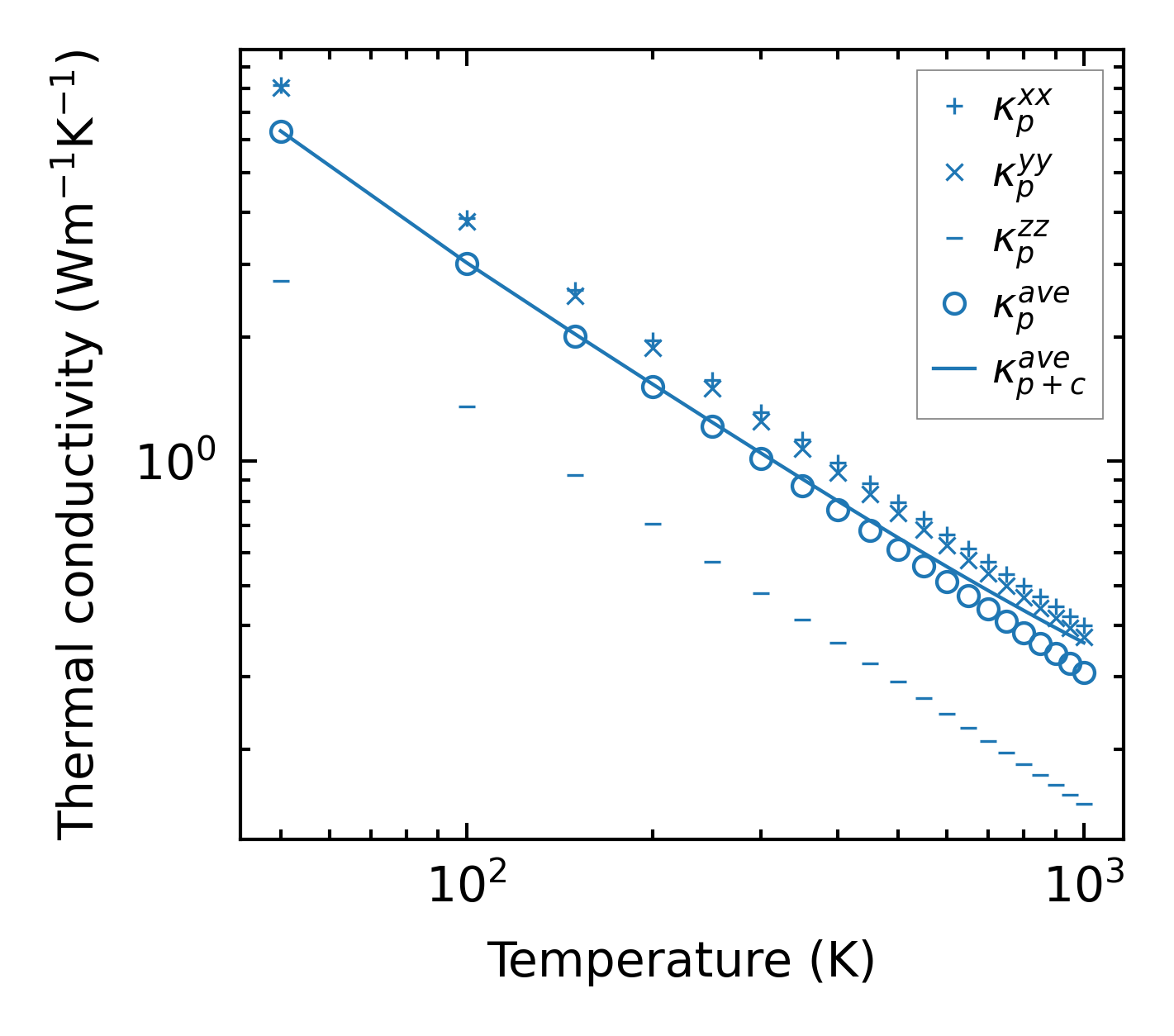
Summary

../../_images/fig_kappa7005.png

(a) Temperature-dependent lattice thermal conductivity

../../_images/fig_times16201.png

(b) Computation time