mp-542812/GaTe/anharm

Harmonic properties

../../_images/fig_bandos_pr9350.png

(a) Phonon dispersion with participation ratio and DOS

../../_images/fig_thermo9350.png

(b) Thermodynamic properties

Grüneisen parameters

../../_images/fig_gru_all3725.png

(a) Grüneisen parameters

../../_images/fig_gruneisen3725.png

(b) Phonon dispersion with Grüneisen parameters

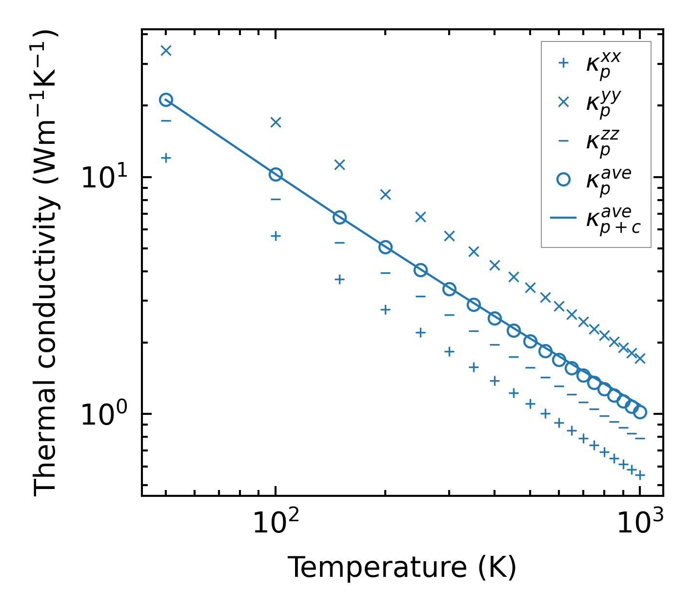
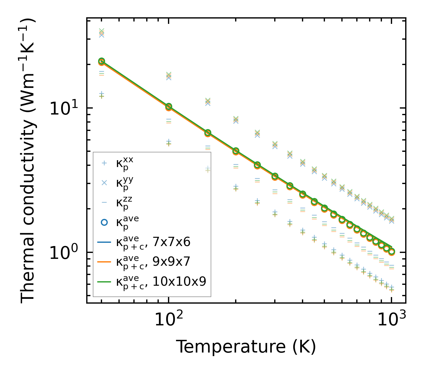
Thermal conductivity

3-phonon (LASSO) — q-mesh: 10x10x9, supercell: 1x3x2

../../_images/fig_kappa7032.png

(a) Temperature-dependent lattice thermal conductivity

../../_images/fig_kappa_vs_grain_size3774.png

(b) Peierls lattice thermal conductivity w.r.t grain size

Phonon lifetime and scattering rates

../../_images/fig_lifetime3690.png

(a) Phonon lifetime due to phonon-phonon scattering

../../_images/fig_scat_rates3689.png

(b) Phonon scattering rates

Cumulative and spectral thermal conductivity

../../_images/fig_cumu_frequency3690.png

(a) Spectral and cumulative thermal conductivity w.r.t frequency

../../_images/fig_cumu_mfp3689.png

(b) Spectral and cumulative thermal conductivity w.r.t MFP

Force constants

../../_images/fig_fc29112.png

(a) Force constants w.r.t atomic distance

Summary

../../_images/fig_kappa7033.png

(a) Temperature-dependent lattice thermal conductivity

../../_images/fig_times16290.png

(b) Computation time