mp-542058/Tl3B3Se10/anharm

Harmonic properties

../../_images/fig_bandos_pr9286.png

(a) Phonon dispersion with participation ratio and DOS

../../_images/fig_thermo9286.png

(b) Thermodynamic properties

Grüneisen parameters

../../_images/fig_gru_all3704.png

(a) Grüneisen parameters

../../_images/fig_gruneisen3704.png

(b) Phonon dispersion with Grüneisen parameters

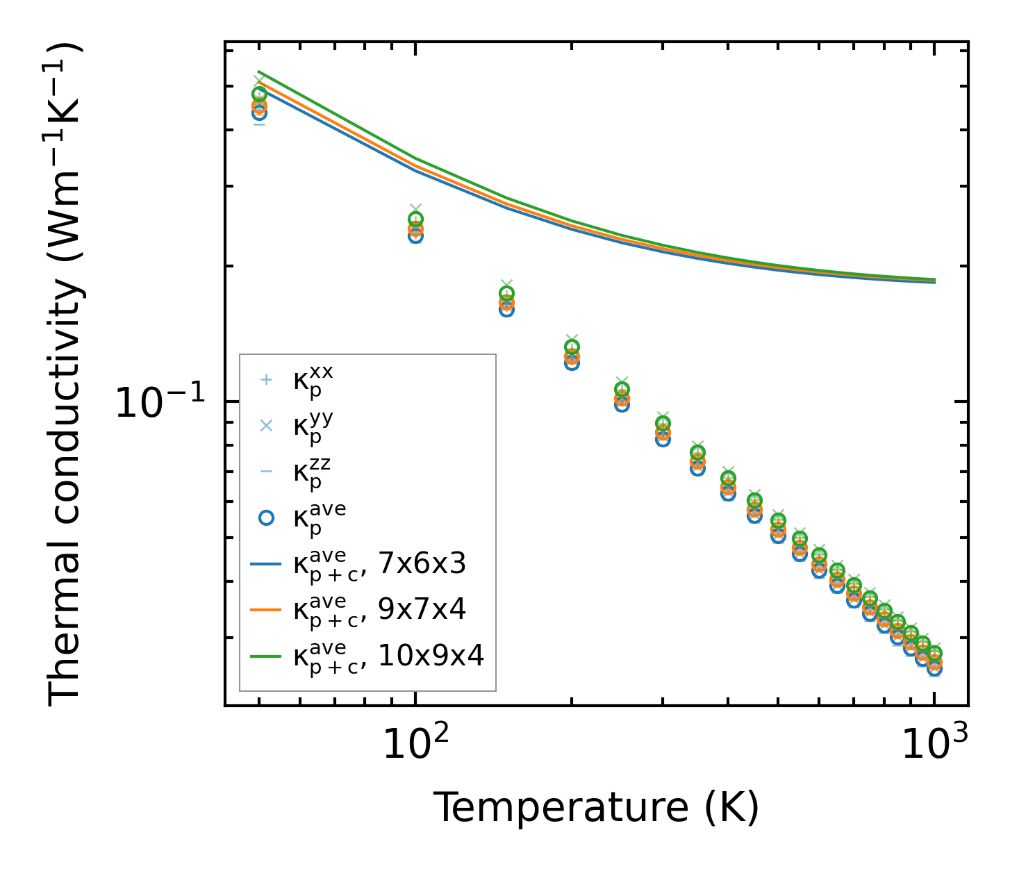
Thermal conductivity

3-phonon (LASSO) — q-mesh: 10x9x4, supercell: 2x2x1

../../_images/fig_kappa6993.png

(a) Temperature-dependent lattice thermal conductivity

../../_images/fig_kappa_vs_grain_size3754.png

(b) Peierls lattice thermal conductivity w.r.t grain size

Phonon lifetime and scattering rates

../../_images/fig_lifetime3670.png

(a) Phonon lifetime due to phonon-phonon scattering

../../_images/fig_scat_rates3669.png

(b) Phonon scattering rates

Cumulative and spectral thermal conductivity

../../_images/fig_cumu_frequency3670.png

(a) Spectral and cumulative thermal conductivity w.r.t frequency

../../_images/fig_cumu_mfp3669.png

(b) Spectral and cumulative thermal conductivity w.r.t MFP

Force constants

../../_images/fig_fc29048.png

(a) Force constants w.r.t atomic distance

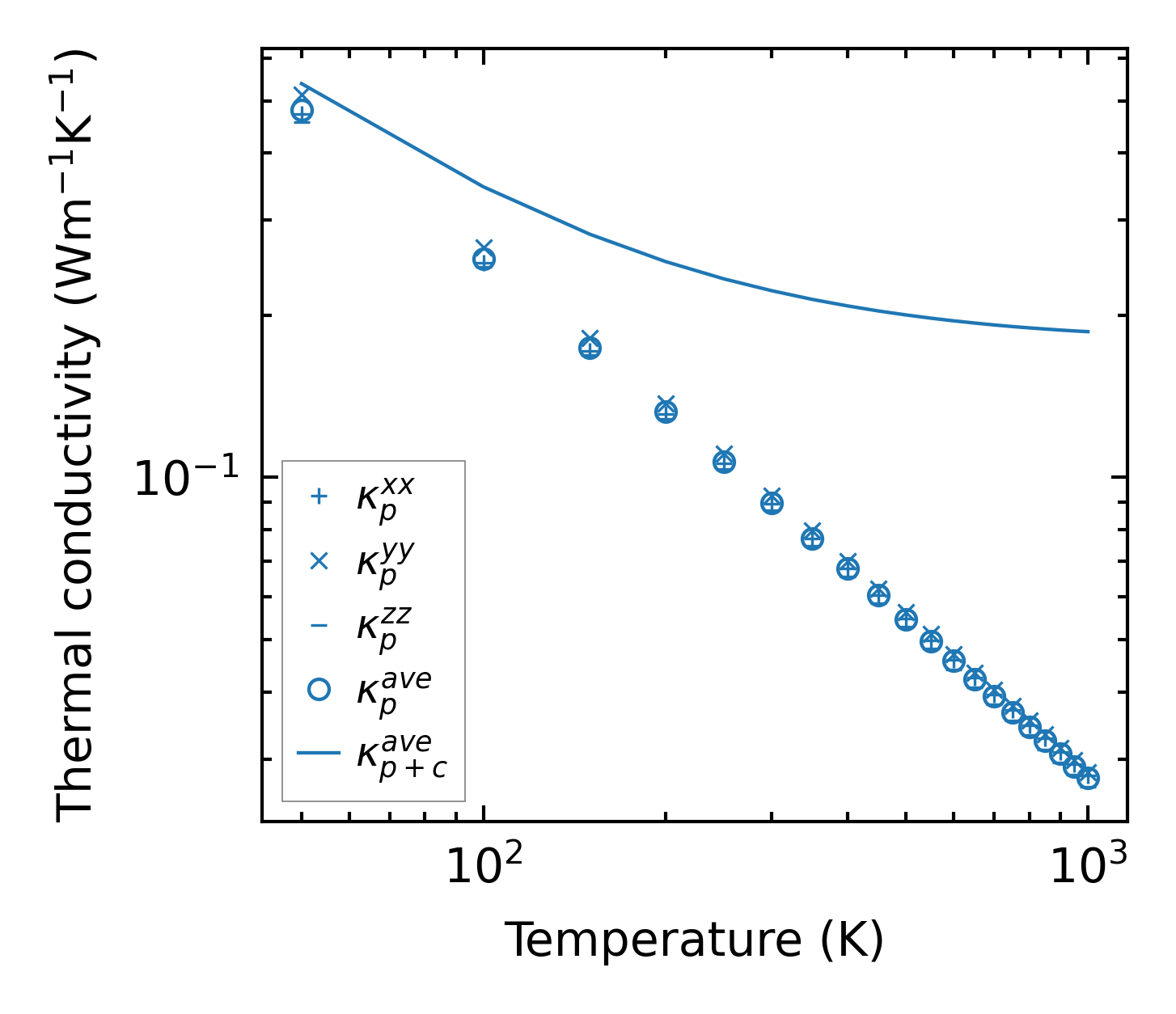
Summary

../../_images/fig_kappa6994.png

(a) Temperature-dependent lattice thermal conductivity

../../_images/fig_times16176.png

(b) Computation time