mp-542704/CsHCO2/anharm

Harmonic properties

../../_images/fig_bandos_pr9337.png

(a) Phonon dispersion with participation ratio and DOS

../../_images/fig_thermo9337.png

(b) Thermodynamic properties

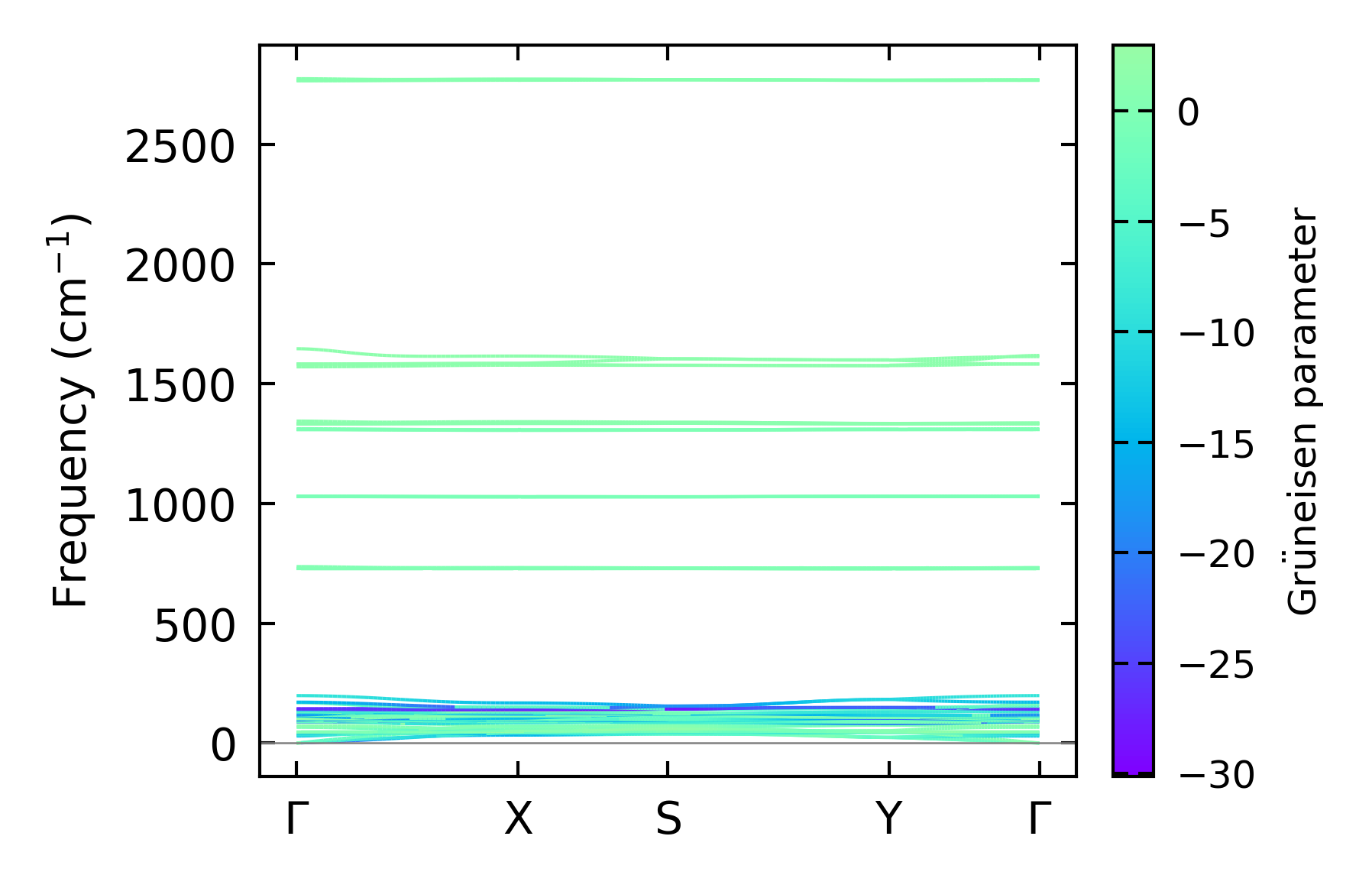
Grüneisen parameters

../../_images/fig_gru_all3719.png

(a) Grüneisen parameters

../../_images/fig_gruneisen3719.png

(b) Phonon dispersion with Grüneisen parameters

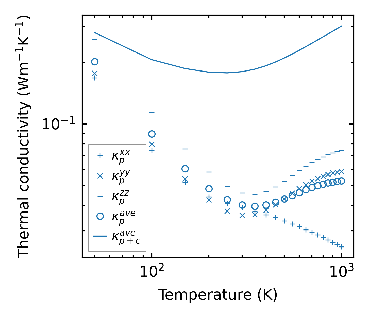
Thermal conductivity

3-phonon (LASSO) — q-mesh: 14x7x9, supercell: 2x1x2

../../_images/fig_kappa7020.png

(a) Temperature-dependent lattice thermal conductivity

../../_images/fig_kappa_vs_grain_size3768.png

(b) Peierls lattice thermal conductivity w.r.t grain size

Phonon lifetime and scattering rates

../../_images/fig_lifetime3684.png

(a) Phonon lifetime due to phonon-phonon scattering

../../_images/fig_scat_rates3683.png

(b) Phonon scattering rates

Cumulative and spectral thermal conductivity

../../_images/fig_cumu_frequency3684.png

(a) Spectral and cumulative thermal conductivity w.r.t frequency

../../_images/fig_cumu_mfp3683.png

(b) Spectral and cumulative thermal conductivity w.r.t MFP

Force constants

../../_images/fig_fc29099.png

(a) Force constants w.r.t atomic distance

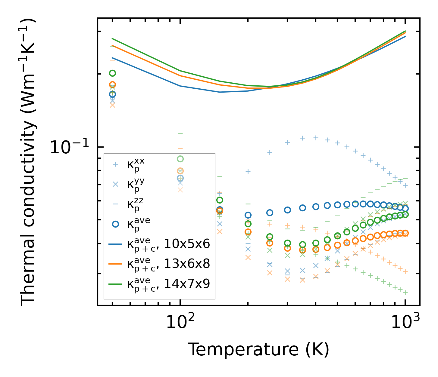
Summary

../../_images/fig_kappa7021.png

(a) Temperature-dependent lattice thermal conductivity

../../_images/fig_times16272.png

(b) Computation time