mp-542789-2/Li14Cr2N8O/anharm

Harmonic properties

../../_images/fig_bandos_pr9348.png

(a) Phonon dispersion with participation ratio and DOS

../../_images/fig_thermo9348.png

(b) Thermodynamic properties

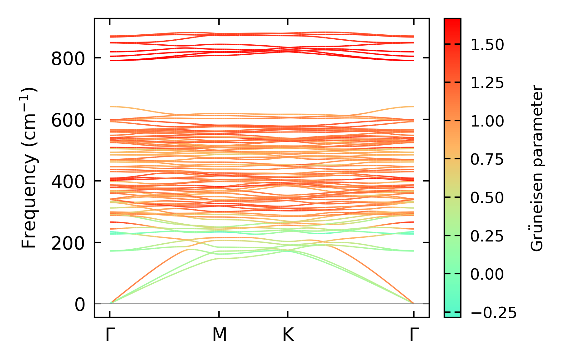
Grüneisen parameters

../../_images/fig_gru_all3723.png

(a) Grüneisen parameters

../../_images/fig_gruneisen3723.png

(b) Phonon dispersion with Grüneisen parameters

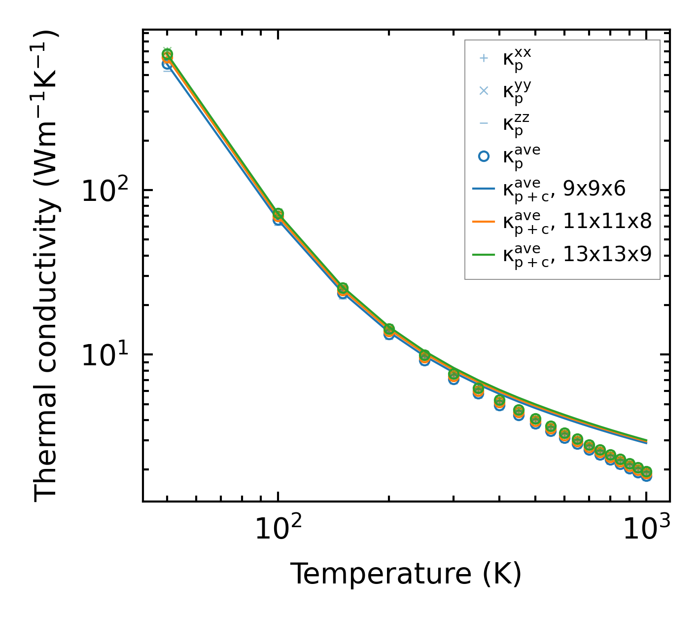
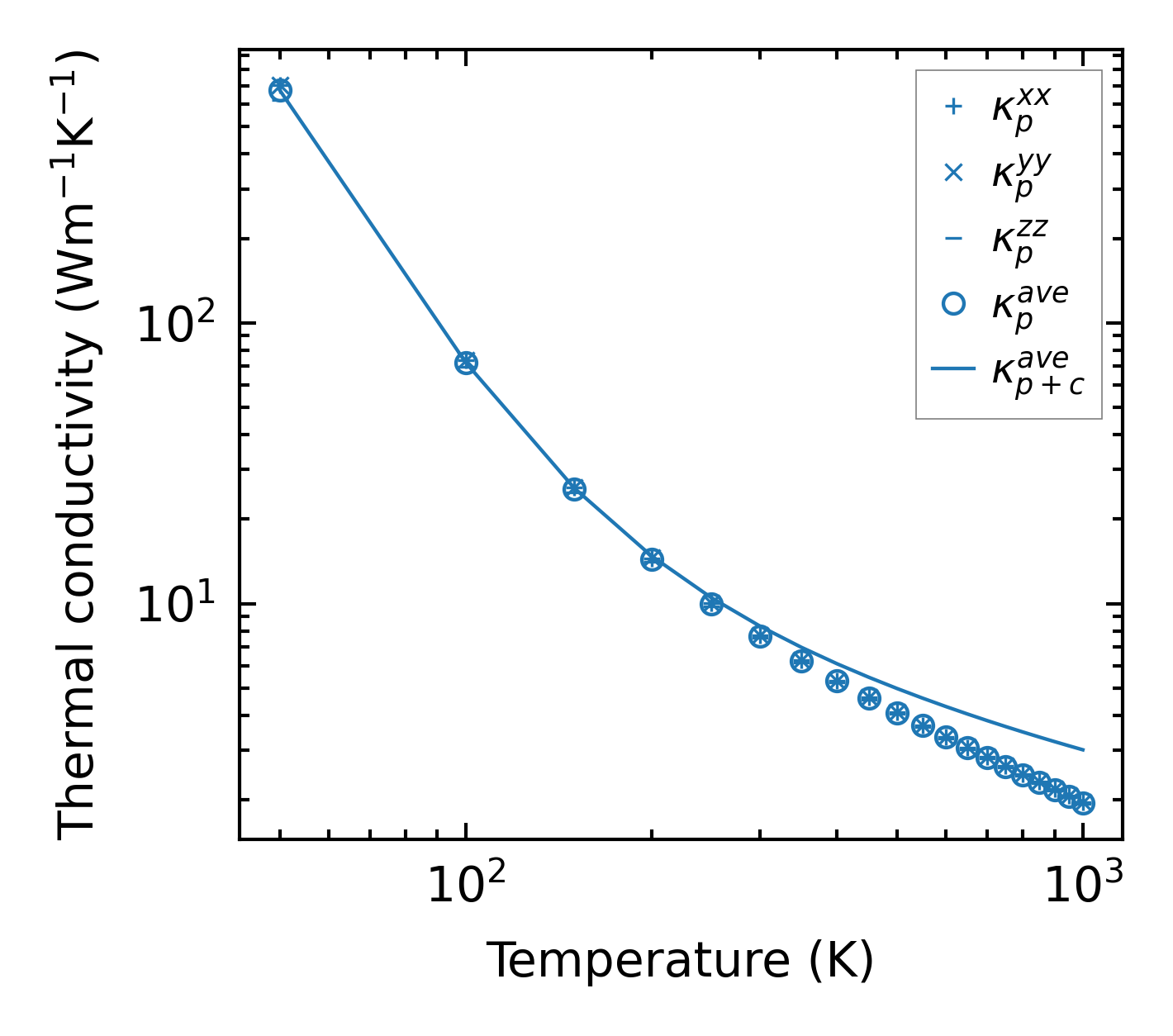
Thermal conductivity

3-phonon (LASSO) — q-mesh: 13x13x9, supercell: 2x2x1

../../_images/fig_kappa7028.png

(a) Temperature-dependent lattice thermal conductivity

../../_images/fig_kappa_vs_grain_size3772.png

(b) Peierls lattice thermal conductivity w.r.t grain size

Phonon lifetime and scattering rates

../../_images/fig_lifetime3688.png

(a) Phonon lifetime due to phonon-phonon scattering

../../_images/fig_scat_rates3687.png

(b) Phonon scattering rates

Cumulative and spectral thermal conductivity

../../_images/fig_cumu_frequency3688.png

(a) Spectral and cumulative thermal conductivity w.r.t frequency

../../_images/fig_cumu_mfp3687.png

(b) Spectral and cumulative thermal conductivity w.r.t MFP

Force constants

../../_images/fig_fc29110.png

(a) Force constants w.r.t atomic distance

Summary

../../_images/fig_kappa7029.png

(a) Temperature-dependent lattice thermal conductivity

../../_images/fig_times16285.png

(b) Computation time