mp-542819-2/Cs3B12H12Br/anharm

Equation of state

../../_images/fig_bm4696.png

(a) Equation of state

Harmonic properties

../../_images/fig_bandos_pr9351.png

(a) Phonon dispersion with participation ratio and DOS

../../_images/fig_thermo9351.png

(b) Thermodynamic properties

Grüneisen parameters

../../_images/fig_gru_all3726.png

(a) Grüneisen parameters

../../_images/fig_gruneisen3726.png

(b) Phonon dispersion with Grüneisen parameters

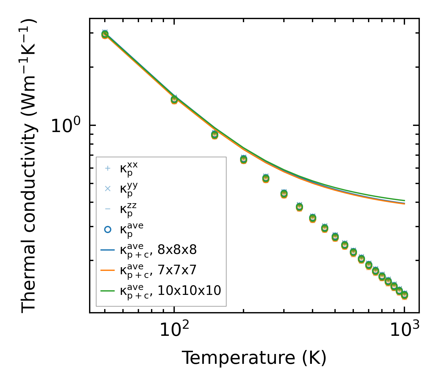
Thermal conductivity

3-phonon (LASSO) — q-mesh: 10x10x10, supercell: 1x1x1

../../_images/fig_kappa7034.png

(a) Temperature-dependent lattice thermal conductivity

../../_images/fig_kappa_vs_grain_size3775.png

(b) Peierls lattice thermal conductivity w.r.t grain size

Phonon lifetime and scattering rates

../../_images/fig_lifetime3691.png

(a) Phonon lifetime due to phonon-phonon scattering

../../_images/fig_scat_rates3690.png

(b) Phonon scattering rates

Cumulative and spectral thermal conductivity

../../_images/fig_cumu_frequency3691.png

(a) Spectral and cumulative thermal conductivity w.r.t frequency

../../_images/fig_cumu_mfp3690.png

(b) Spectral and cumulative thermal conductivity w.r.t MFP

Force constants

../../_images/fig_fc29113.png

(a) Force constants w.r.t atomic distance

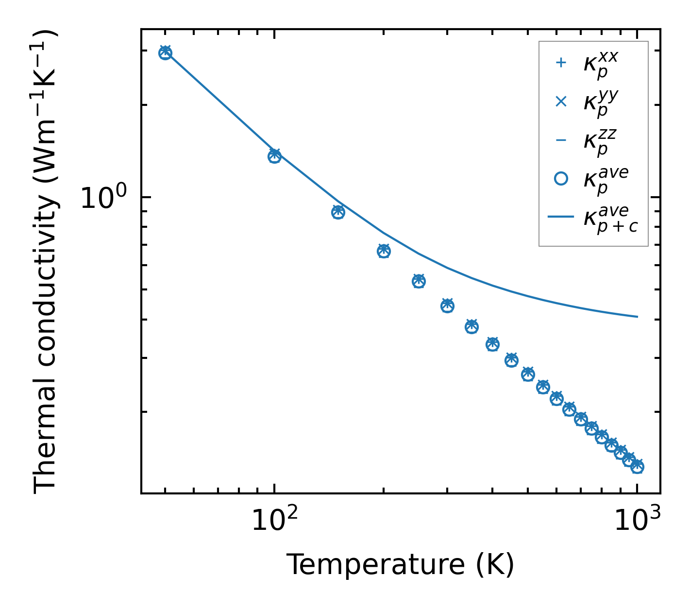
Summary

../../_images/fig_kappa7035.png

(a) Temperature-dependent lattice thermal conductivity

../../_images/fig_times16294.png

(b) Computation time