mp-542678/AlAsH4O6/anharm

Harmonic properties

../../_images/fig_bandos_pr9335.png

(a) Phonon dispersion with participation ratio and DOS

../../_images/fig_thermo9335.png

(b) Thermodynamic properties

Grüneisen parameters

../../_images/fig_gru_all3718.png

(a) Grüneisen parameters

../../_images/fig_gruneisen3718.png

(b) Phonon dispersion with Grüneisen parameters

Thermal conductivity

3-phonon (LASSO) — q-mesh: 8x7x7, supercell: 1x1x1

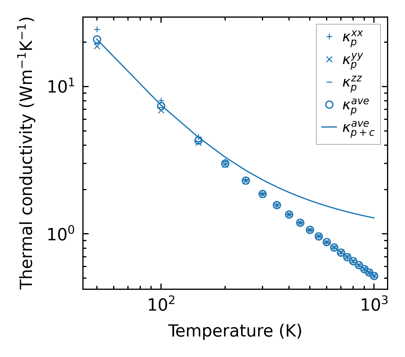
../../_images/fig_kappa7018.png

(a) Temperature-dependent lattice thermal conductivity

../../_images/fig_kappa_vs_grain_size3767.png

(b) Peierls lattice thermal conductivity w.r.t grain size

Phonon lifetime and scattering rates

../../_images/fig_lifetime3683.png

(a) Phonon lifetime due to phonon-phonon scattering

../../_images/fig_scat_rates3682.png

(b) Phonon scattering rates

Cumulative and spectral thermal conductivity

../../_images/fig_cumu_frequency3683.png

(a) Spectral and cumulative thermal conductivity w.r.t frequency

../../_images/fig_cumu_mfp3682.png

(b) Spectral and cumulative thermal conductivity w.r.t MFP

Force constants

../../_images/fig_fc29097.png

(a) Force constants w.r.t atomic distance

Summary

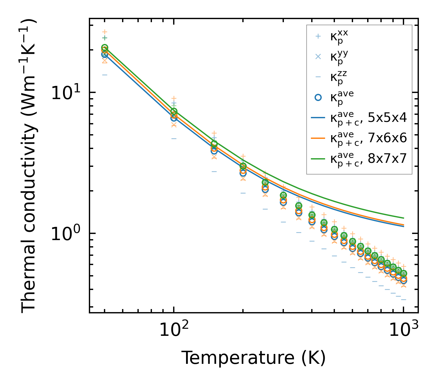
../../_images/fig_kappa7019.png

(a) Temperature-dependent lattice thermal conductivity

../../_images/fig_times16268.png

(b) Computation time