mp-542164/CsTb2Ag3Se5/anharm

Harmonic properties

../../_images/fig_bandos_pr9299.png

(a) Phonon dispersion with participation ratio and DOS

../../_images/fig_thermo9299.png

(b) Thermodynamic properties

Grüneisen parameters

../../_images/fig_gru_all3709.png

(a) Grüneisen parameters

../../_images/fig_gruneisen3709.png

(b) Phonon dispersion with Grüneisen parameters

Thermal conductivity

3-phonon (LASSO) — q-mesh: 11x11x5, supercell: 3x1x1

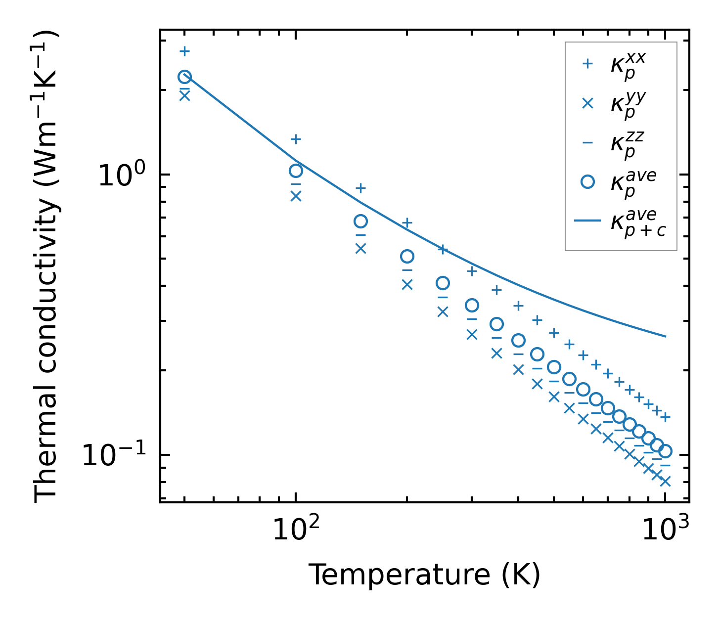
../../_images/fig_kappa7002.png

(a) Temperature-dependent lattice thermal conductivity

../../_images/fig_kappa_vs_grain_size3759.png

(b) Peierls lattice thermal conductivity w.r.t grain size

Phonon lifetime and scattering rates

../../_images/fig_lifetime3675.png

(a) Phonon lifetime due to phonon-phonon scattering

../../_images/fig_scat_rates3674.png

(b) Phonon scattering rates

Cumulative and spectral thermal conductivity

../../_images/fig_cumu_frequency3675.png

(a) Spectral and cumulative thermal conductivity w.r.t frequency

../../_images/fig_cumu_mfp3674.png

(b) Spectral and cumulative thermal conductivity w.r.t MFP

Force constants

../../_images/fig_fc29061.png

(a) Force constants w.r.t atomic distance

Summary

../../_images/fig_kappa7003.png

(a) Temperature-dependent lattice thermal conductivity

../../_images/fig_times16200.png

(b) Computation time