mp-542919-2/NaGe2P3O12/anharm

Equation of state

../../_images/fig_bm4704.png

(a) Equation of state

Harmonic properties

../../_images/fig_bandos_pr9361.png

(a) Phonon dispersion with participation ratio and DOS

../../_images/fig_bandos13128.png

(b) Phonon dispersion and DOS

../../_images/fig_thermo9361.png

(c) Thermodynamic properties

Grüneisen parameters

../../_images/fig_gru_all3729.png

(a) Grüneisen parameters

../../_images/fig_gruneisen3729.png

(b) Phonon dispersion with Grüneisen parameters

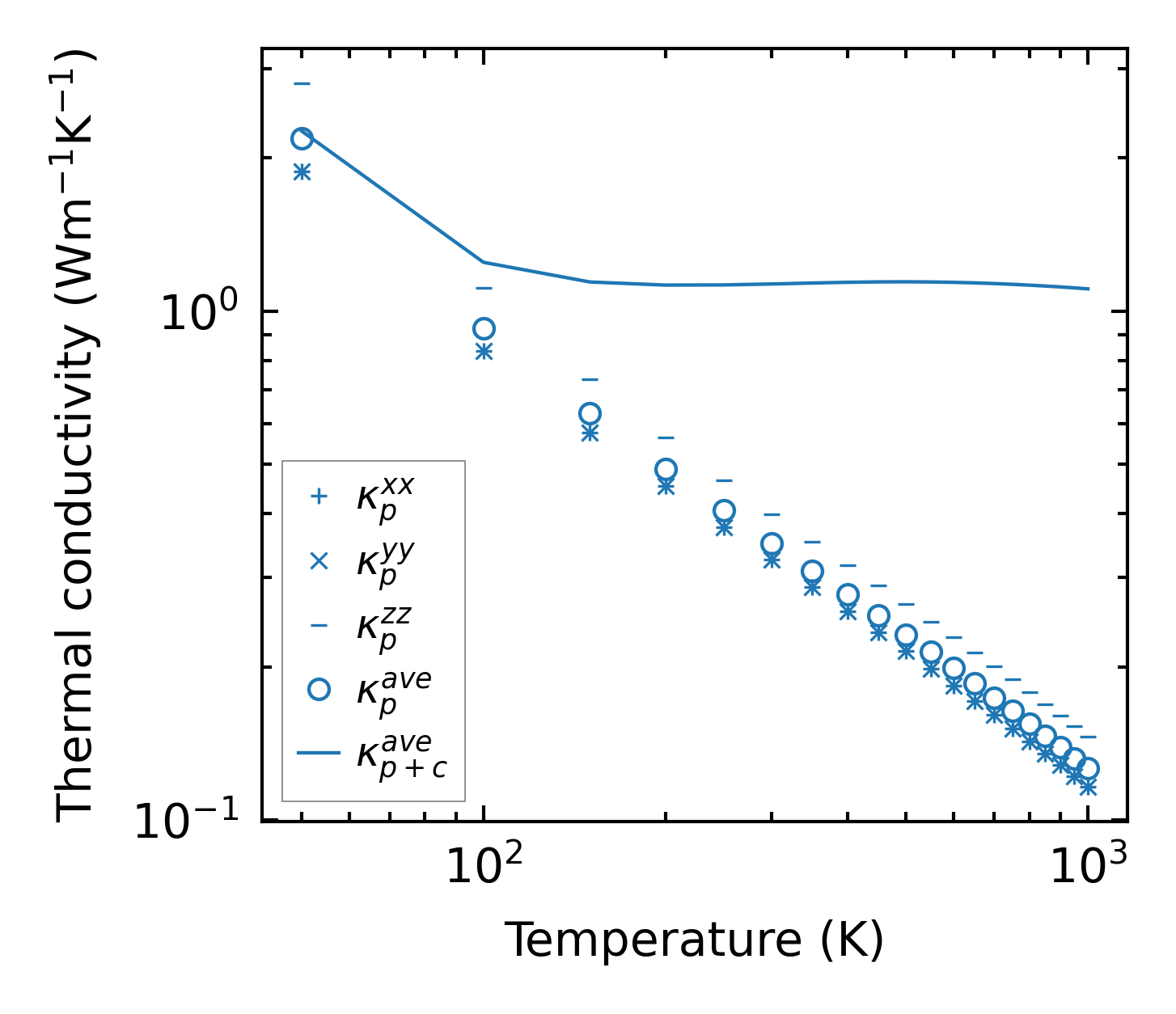
Thermal conductivity

3-phonon (LASSO), supercell 2x2x1 — q-mesh: 9x9x9, supercell: 2x2x1

../../_images/fig_kappa7039.png

(a) Temperature-dependent lattice thermal conductivity

../../_images/fig_kappa_vs_grain_size3778.png

(b) Peierls lattice thermal conductivity w.r.t grain size

Phonon lifetime and scattering rates

../../_images/fig_lifetime3694.png

(a) Phonon lifetime due to phonon-phonon scattering

../../_images/fig_scat_rates3693.png

(b) Phonon scattering rates

Cumulative and spectral thermal conductivity

../../_images/fig_cumu_frequency3694.png

(a) Spectral and cumulative thermal conductivity w.r.t frequency

../../_images/fig_cumu_mfp3693.png

(b) Spectral and cumulative thermal conductivity w.r.t MFP

Force constants

../../_images/fig_fc29123.png

(a) Force constants w.r.t atomic distance

Summary

../../_images/fig_times16315.png

(a) Computation time