mp-542833/Zn3B2O6/harm

Harmonic properties

../../_images/fig_bandos_pr9355.png

(a) Phonon dispersion with participation ratio and DOS

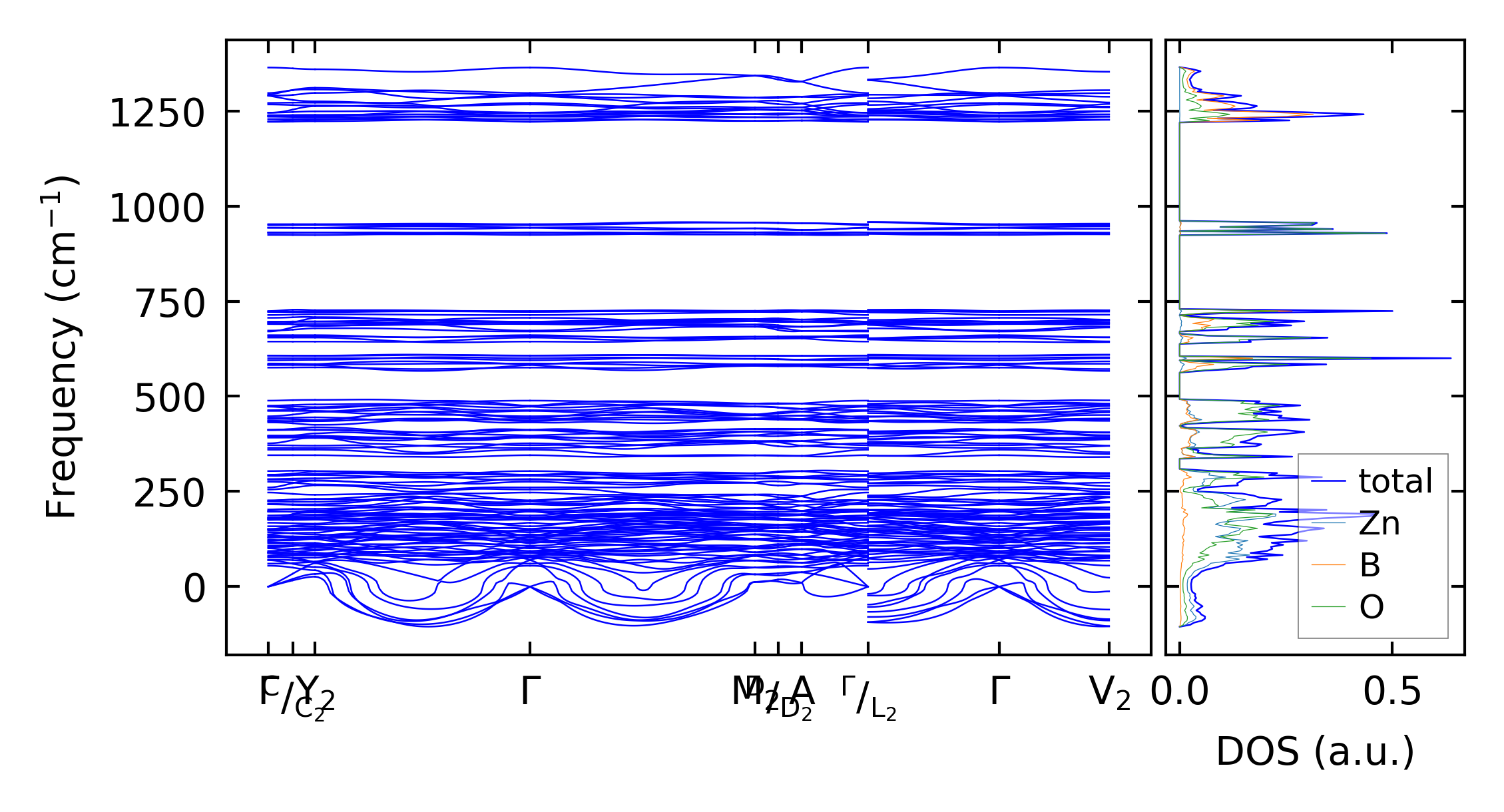
../../_images/fig_bandos13111.png

(b) Phonon dispersion and DOS

../../_images/fig_thermo9355.png

(c) Thermodynamic properties

Force constants

../../_images/fig_fc29117.png

(a) Force constants w.r.t atomic distance

Summary

../../_images/fig_times16298.png

(a) Computation time