mp-542637/K2B2Se7/anharm

Harmonic properties

../../_images/fig_bandos_pr9330.png

(a) Phonon dispersion with participation ratio and DOS

../../_images/fig_thermo9330.png

(b) Thermodynamic properties

Grüneisen parameters

../../_images/fig_gru_all3716.png

(a) Grüneisen parameters

../../_images/fig_gruneisen3716.png

(b) Phonon dispersion with Grüneisen parameters

Thermal conductivity

3-phonon (LASSO) — q-mesh: 9x9x6, supercell: 1x2x1

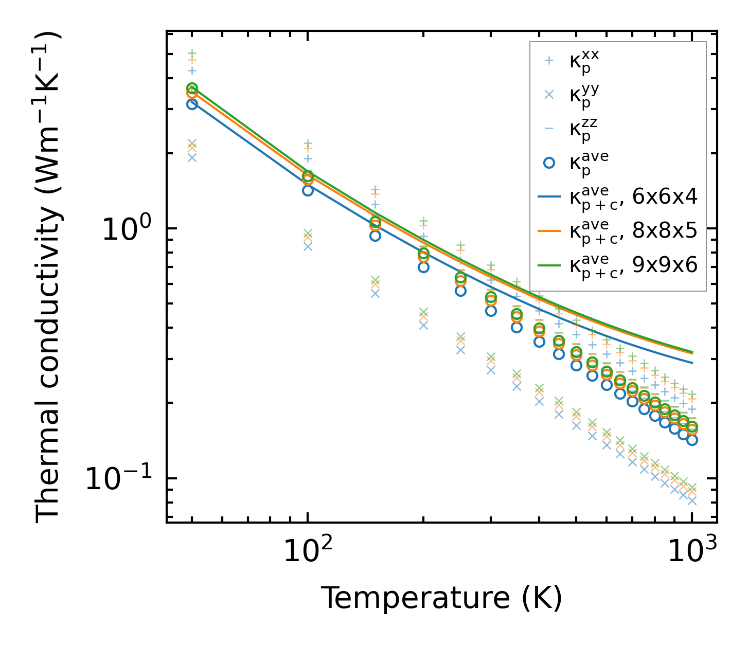
../../_images/fig_kappa7014.png

(a) Temperature-dependent lattice thermal conductivity

../../_images/fig_kappa_vs_grain_size3765.png

(b) Peierls lattice thermal conductivity w.r.t grain size

Phonon lifetime and scattering rates

../../_images/fig_lifetime3681.png

(a) Phonon lifetime due to phonon-phonon scattering

../../_images/fig_scat_rates3680.png

(b) Phonon scattering rates

Cumulative and spectral thermal conductivity

../../_images/fig_cumu_frequency3681.png

(a) Spectral and cumulative thermal conductivity w.r.t frequency

../../_images/fig_cumu_mfp3680.png

(b) Spectral and cumulative thermal conductivity w.r.t MFP

Force constants

../../_images/fig_fc29092.png

(a) Force constants w.r.t atomic distance

Summary

../../_images/fig_kappa7015.png

(a) Temperature-dependent lattice thermal conductivity

../../_images/fig_times16259.png

(b) Computation time