mp-542772-2/CsAgCl2/anharm

Equation of state

../../_images/fig_bm4693.png

(a) Equation of state

Harmonic properties

../../_images/fig_bandos_pr9346.png

(a) Phonon dispersion with participation ratio and DOS

../../_images/fig_thermo9346.png

(b) Thermodynamic properties

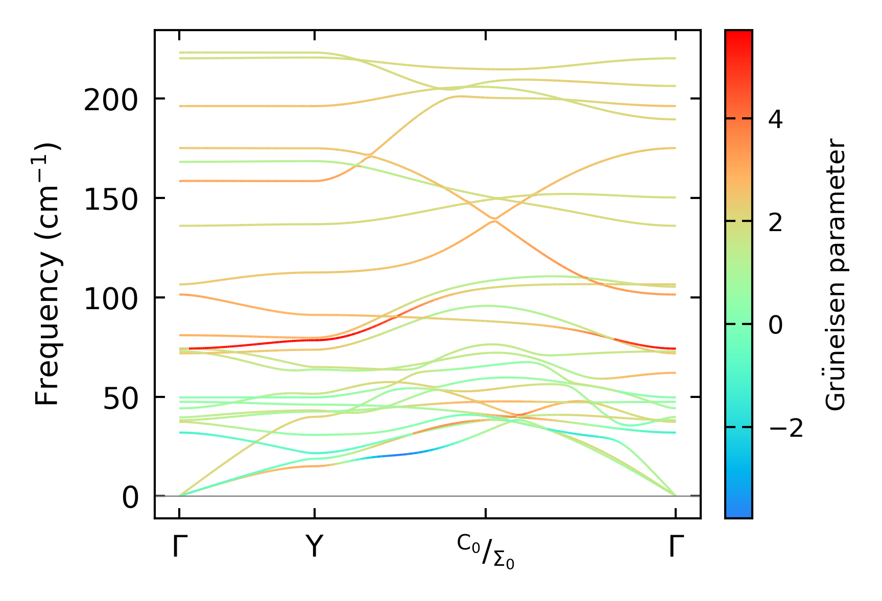
Grüneisen parameters

../../_images/fig_gru_all3721.png

(a) Grüneisen parameters

../../_images/fig_gruneisen3721.png

(b) Phonon dispersion with Grüneisen parameters

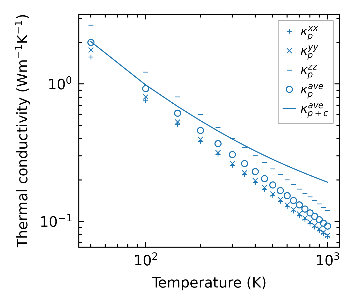
Thermal conductivity

3-phonon (LASSO) — q-mesh: 9x9x17, supercell: 3x1x3

../../_images/fig_kappa7024.png

(a) Temperature-dependent lattice thermal conductivity

../../_images/fig_kappa_vs_grain_size3770.png

(b) Peierls lattice thermal conductivity w.r.t grain size

Phonon lifetime and scattering rates

../../_images/fig_lifetime3686.png

(a) Phonon lifetime due to phonon-phonon scattering

../../_images/fig_scat_rates3685.png

(b) Phonon scattering rates

Cumulative and spectral thermal conductivity

../../_images/fig_cumu_frequency3686.png

(a) Spectral and cumulative thermal conductivity w.r.t frequency

../../_images/fig_cumu_mfp3685.png

(b) Spectral and cumulative thermal conductivity w.r.t MFP

Force constants

../../_images/fig_fc29108.png

(a) Force constants w.r.t atomic distance

Summary

../../_images/fig_kappa7025.png

(a) Temperature-dependent lattice thermal conductivity

../../_images/fig_times16283.png

(b) Computation time