mp-542435/Li3ScN2/anharm

Harmonic properties

../../_images/fig_bandos_pr9311.png

(a) Phonon dispersion with participation ratio and DOS

../../_images/fig_thermo9311.png

(b) Thermodynamic properties

Grüneisen parameters

../../_images/fig_gru_all3714.png

(a) Grüneisen parameters

../../_images/fig_gruneisen3714.png

(b) Phonon dispersion with Grüneisen parameters

Thermal conductivity

3-phonon (LASSO) — q-mesh: 9x9x9, supercell: 1x1x1

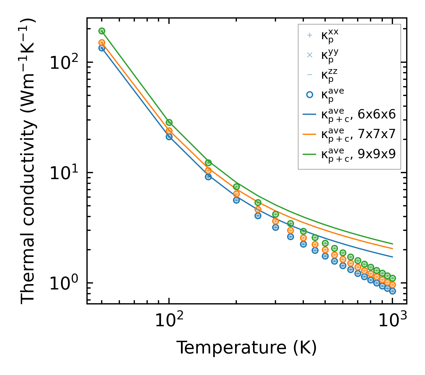
../../_images/fig_kappa7010.png

(a) Temperature-dependent lattice thermal conductivity

../../_images/fig_kappa_vs_grain_size3763.png

(b) Peierls lattice thermal conductivity w.r.t grain size

Phonon lifetime and scattering rates

../../_images/fig_lifetime3679.png

(a) Phonon lifetime due to phonon-phonon scattering

../../_images/fig_scat_rates3678.png

(b) Phonon scattering rates

Cumulative and spectral thermal conductivity

../../_images/fig_cumu_frequency3679.png

(a) Spectral and cumulative thermal conductivity w.r.t frequency

../../_images/fig_cumu_mfp3678.png

(b) Spectral and cumulative thermal conductivity w.r.t MFP

Force constants

../../_images/fig_fc29073.png

(a) Force constants w.r.t atomic distance

Summary

../../_images/fig_kappa7011.png

(a) Temperature-dependent lattice thermal conductivity

../../_images/fig_times16223.png

(b) Computation time