mp-540945/Na2Li3GaO4/anharm

Harmonic properties

../../_images/fig_bandos_pr9440.png

(a) Phonon dispersion with participation ratio and DOS

../../_images/fig_thermo9440.png

(b) Thermodynamic properties

Grüneisen parameters

../../_images/fig_gru_all3757.png

(a) Grüneisen parameters

../../_images/fig_gruneisen3757.png

(b) Phonon dispersion with Grüneisen parameters

Thermal conductivity

3-phonon (LASSO) — q-mesh: 9x8x11, supercell: 1x1x2

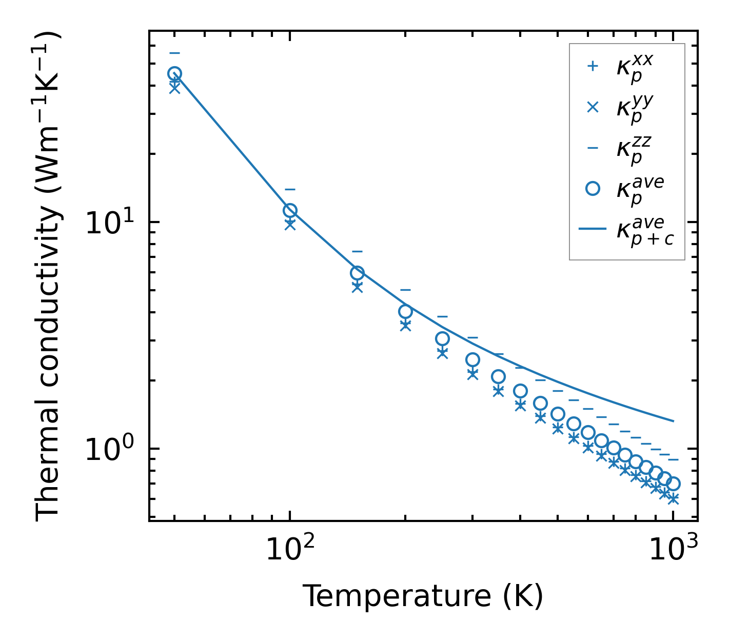
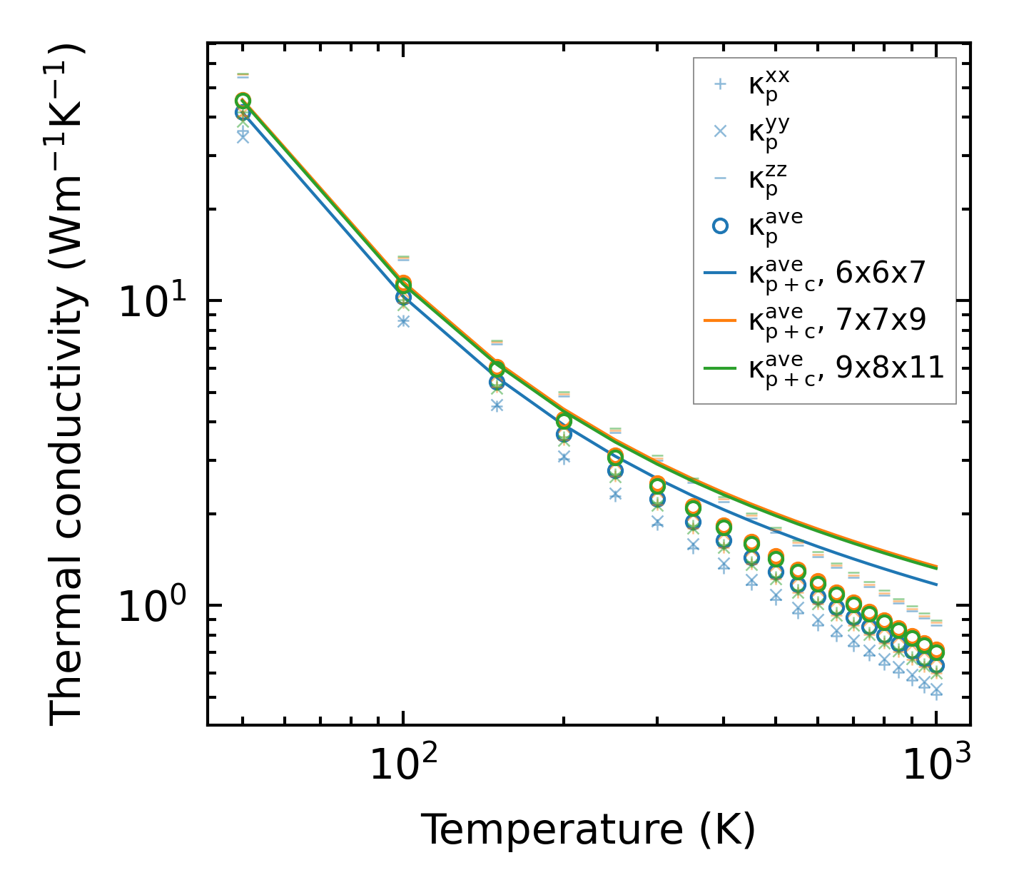
../../_images/fig_kappa7093.png

(a) Temperature-dependent lattice thermal conductivity

../../_images/fig_kappa_vs_grain_size3806.png

(b) Peierls lattice thermal conductivity w.r.t grain size

Phonon lifetime and scattering rates

../../_images/fig_lifetime3722.png

(a) Phonon lifetime due to phonon-phonon scattering

../../_images/fig_scat_rates3721.png

(b) Phonon scattering rates

Cumulative and spectral thermal conductivity

../../_images/fig_cumu_frequency3722.png

(a) Spectral and cumulative thermal conductivity w.r.t frequency

../../_images/fig_cumu_mfp3721.png

(b) Spectral and cumulative thermal conductivity w.r.t MFP

Force constants

../../_images/fig_fc29202.png

(a) Force constants w.r.t atomic distance

Summary

../../_images/fig_kappa7094.png

(a) Temperature-dependent lattice thermal conductivity

../../_images/fig_times16430.png

(b) Computation time