mp-540615/Nb3Se5Cl7/anharm

Harmonic properties

../../_images/fig_bandos_pr9684.png

(a) Phonon dispersion with participation ratio and DOS

../../_images/fig_thermo9684.png

(b) Thermodynamic properties

Grüneisen parameters

../../_images/fig_gru_all3866.png

(a) Grüneisen parameters

../../_images/fig_gruneisen3866.png

(b) Phonon dispersion with Grüneisen parameters

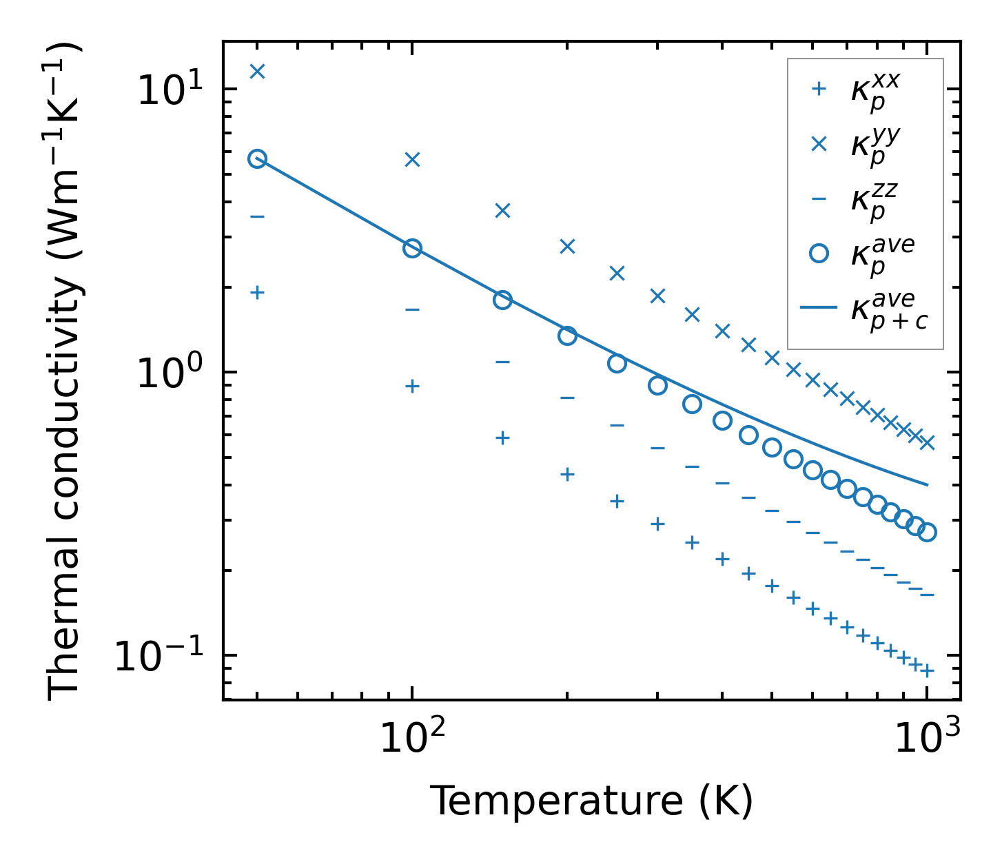
Thermal conductivity

3-phonon (LASSO) — q-mesh: 9x5x8, supercell: 2x1x2

../../_images/fig_kappa7284.png

(a) Temperature-dependent lattice thermal conductivity

../../_images/fig_kappa_vs_grain_size3914.png

(b) Peierls lattice thermal conductivity w.r.t grain size

Phonon lifetime and scattering rates

../../_images/fig_lifetime3830.png

(a) Phonon lifetime due to phonon-phonon scattering

../../_images/fig_scat_rates3829.png

(b) Phonon scattering rates

Cumulative and spectral thermal conductivity

../../_images/fig_cumu_frequency3830.png

(a) Spectral and cumulative thermal conductivity w.r.t frequency

../../_images/fig_cumu_mfp3829.png

(b) Spectral and cumulative thermal conductivity w.r.t MFP

Force constants

../../_images/fig_fc29445.png

(a) Force constants w.r.t atomic distance

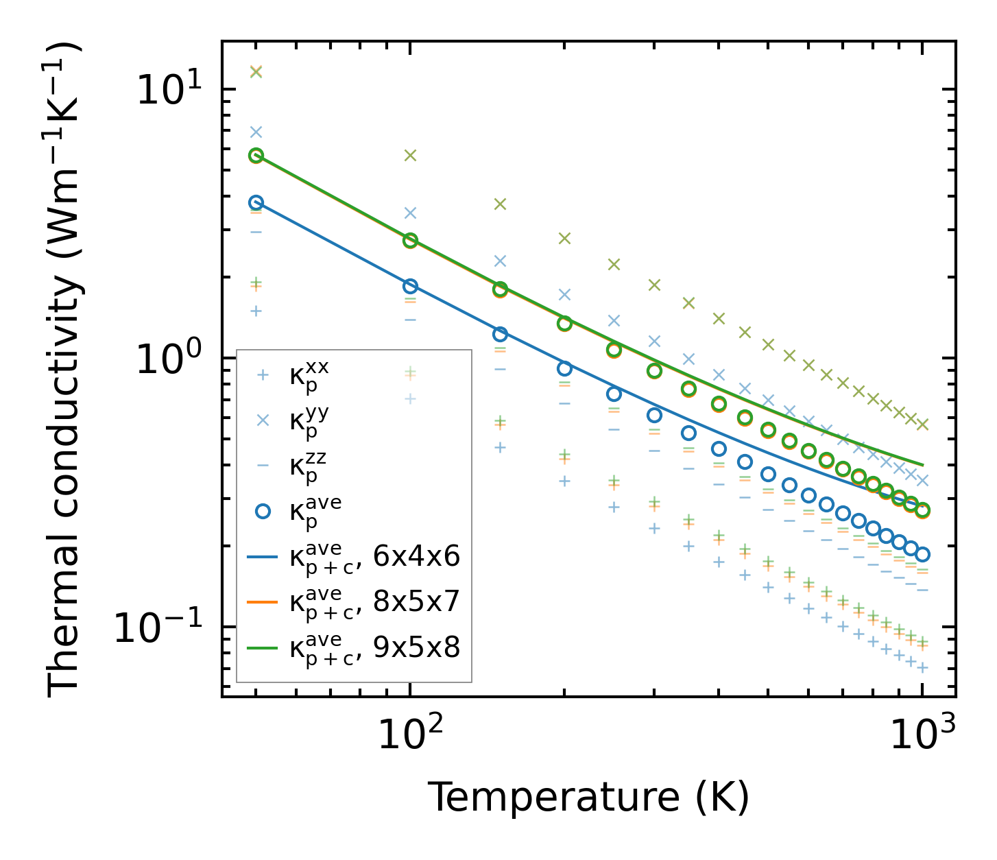
Summary

../../_images/fig_kappa7285.png

(a) Temperature-dependent lattice thermal conductivity

../../_images/fig_times16856.png

(b) Computation time