mp-540794-2/Ba3SrNb2O9/harm

Equation of state

../../_images/fig_bm4848.png

(a) Equation of state

Harmonic properties

../../_images/fig_bandos_pr9722.png

(a) Phonon dispersion with participation ratio and DOS

../../_images/fig_bandos13597.png

(b) Phonon dispersion and DOS

../../_images/fig_thermo9722.png

(c) Thermodynamic properties

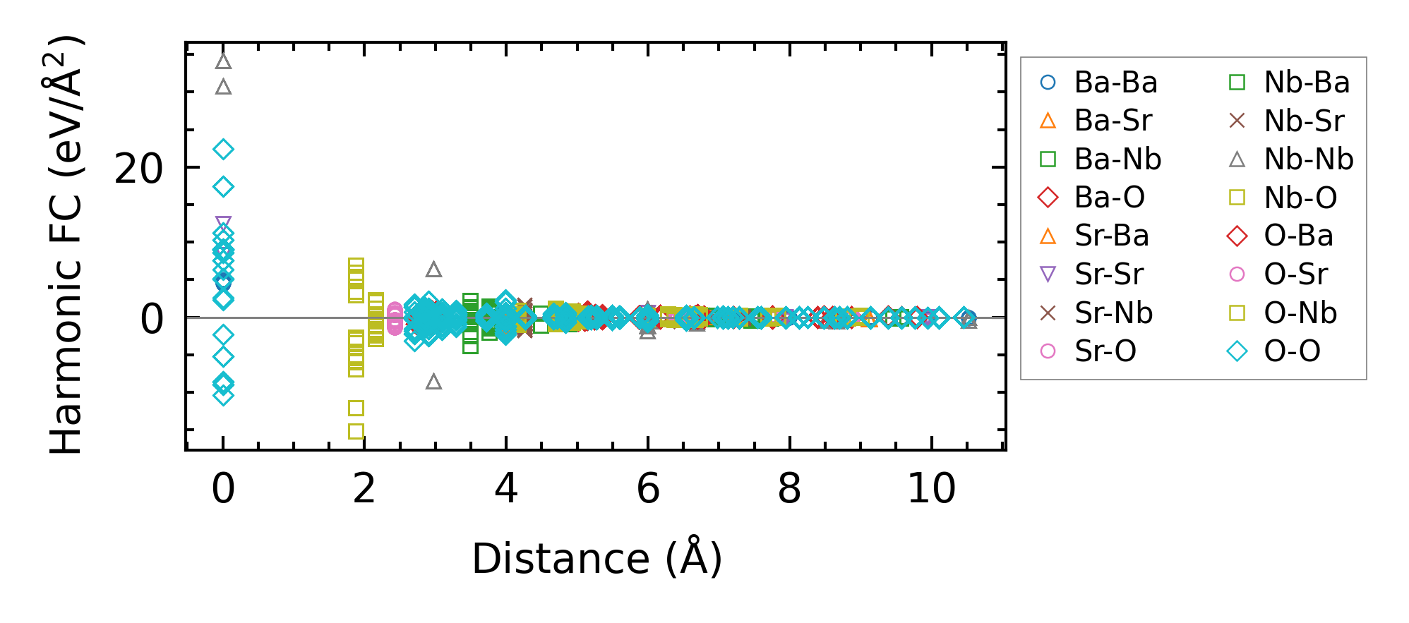
Force constants

../../_images/fig_fc29481.png

(a) Force constants w.r.t atomic distance

Summary

../../_images/fig_times16912.png

(a) Computation time