mp-540707-2/Cs2SnGe3O9/anharm

Equation of state

../../_images/fig_bm4842.png

(a) Equation of state

Harmonic properties

../../_images/fig_bandos_pr9711.png

(a) Phonon dispersion with participation ratio and DOS

../../_images/fig_thermo9711.png

(b) Thermodynamic properties

Grüneisen parameters

../../_images/fig_gru_all3878.png

(a) Grüneisen parameters

../../_images/fig_gruneisen3878.png

(b) Phonon dispersion with Grüneisen parameters

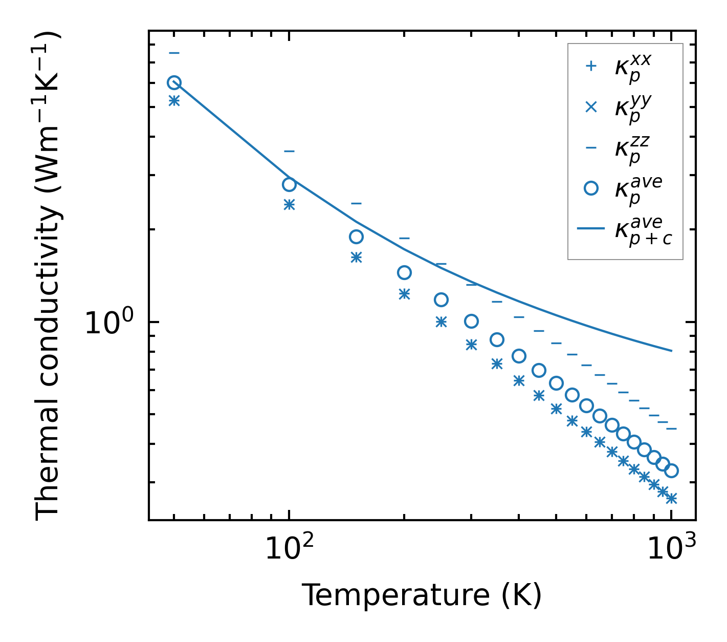
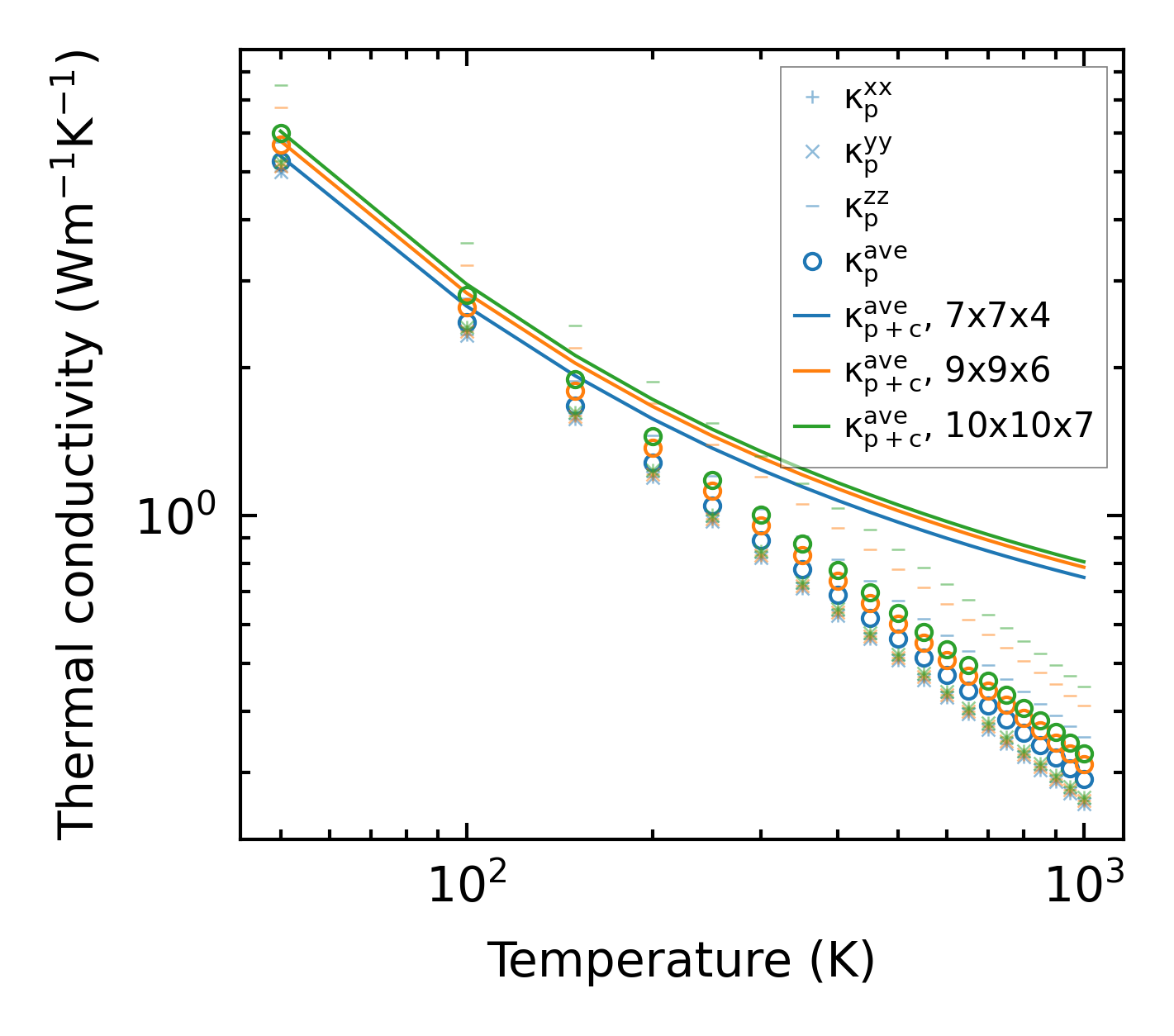
Thermal conductivity

3-phonon (LASSO) — q-mesh: 10x10x7, supercell: 2x2x1

../../_images/fig_kappa7310.png

(a) Temperature-dependent lattice thermal conductivity

../../_images/fig_kappa_vs_grain_size3928.png

(b) Peierls lattice thermal conductivity w.r.t grain size

Phonon lifetime and scattering rates

../../_images/fig_lifetime3842.png

(a) Phonon lifetime due to phonon-phonon scattering

../../_images/fig_scat_rates3841.png

(b) Phonon scattering rates

Cumulative and spectral thermal conductivity

../../_images/fig_cumu_frequency3842.png

(a) Spectral and cumulative thermal conductivity w.r.t frequency

../../_images/fig_cumu_mfp3841.png

(b) Spectral and cumulative thermal conductivity w.r.t MFP

Force constants

../../_images/fig_fc29472.png

(a) Force constants w.r.t atomic distance

Summary

../../_images/fig_kappa7311.png

(a) Temperature-dependent lattice thermal conductivity

../../_images/fig_times16892.png

(b) Computation time