mp-540794/Ba3SrNb2O9/harm

Harmonic properties

../../_images/fig_bandos_pr9721.png

(a) Phonon dispersion with participation ratio and DOS

../../_images/fig_bandos13596.png

(b) Phonon dispersion and DOS

../../_images/fig_thermo9721.png

(c) Thermodynamic properties

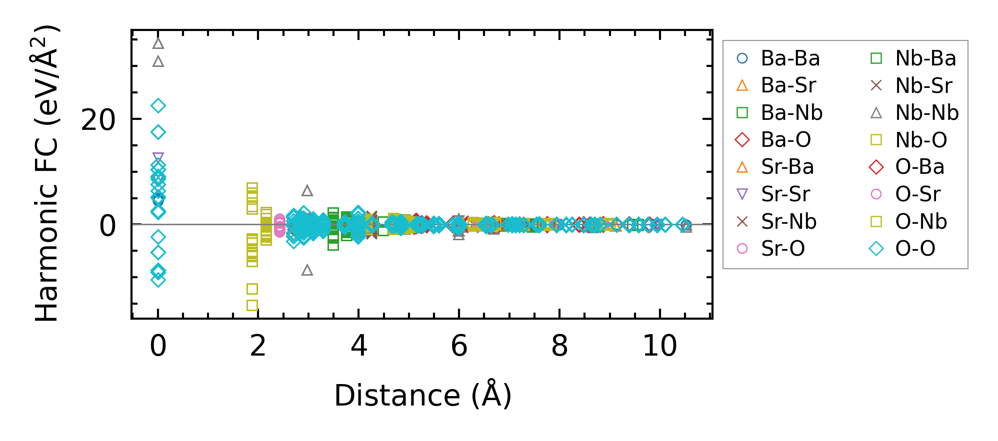
Force constants

../../_images/fig_fc29480.png

(a) Force constants w.r.t atomic distance

Summary

../../_images/fig_times16911.png

(a) Computation time