mp-540645/Hg3Cl2O2/anharm

Harmonic properties

../../_images/fig_bandos_pr9697.png

(a) Phonon dispersion with participation ratio and DOS

../../_images/fig_thermo9697.png

(b) Thermodynamic properties

Grüneisen parameters

../../_images/fig_gru_all3868.png

(a) Grüneisen parameters

../../_images/fig_gruneisen3868.png

(b) Phonon dispersion with Grüneisen parameters

Thermal conductivity

3-phonon (LASSO) — q-mesh: 6x7x6, supercell: 1x2x1

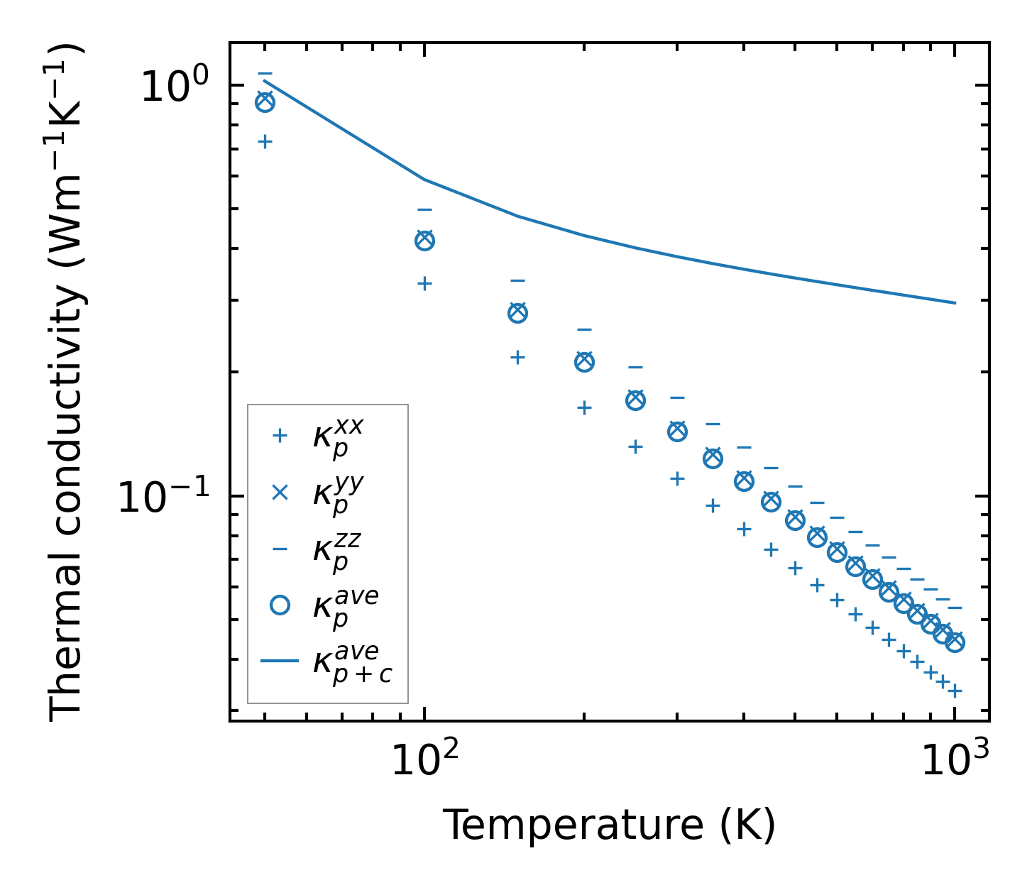
../../_images/fig_kappa7288.png

(a) Temperature-dependent lattice thermal conductivity

../../_images/fig_kappa_vs_grain_size3916.png

(b) Peierls lattice thermal conductivity w.r.t grain size

Phonon lifetime and scattering rates

../../_images/fig_lifetime3832.png

(a) Phonon lifetime due to phonon-phonon scattering

../../_images/fig_scat_rates3831.png

(b) Phonon scattering rates

Cumulative and spectral thermal conductivity

../../_images/fig_cumu_frequency3832.png

(a) Spectral and cumulative thermal conductivity w.r.t frequency

../../_images/fig_cumu_mfp3831.png

(b) Spectral and cumulative thermal conductivity w.r.t MFP

Force constants

../../_images/fig_fc29458.png

(a) Force constants w.r.t atomic distance

Summary

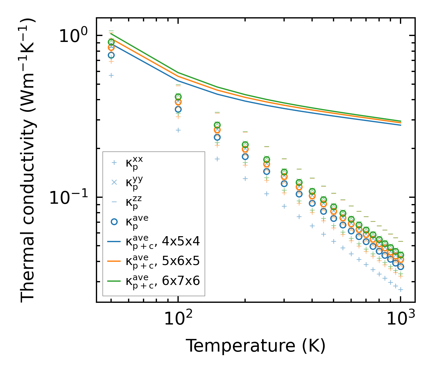
../../_images/fig_kappa7289.png

(a) Temperature-dependent lattice thermal conductivity

../../_images/fig_times16873.png

(b) Computation time