mp-540912/As3Ir/anharm

Harmonic properties

../../_images/fig_bandos_pr9742.png

(a) Phonon dispersion with participation ratio and DOS

../../_images/fig_thermo9742.png

(b) Thermodynamic properties

Grüneisen parameters

../../_images/fig_gru_all3890.png

(a) Grüneisen parameters

../../_images/fig_gruneisen3890.png

(b) Phonon dispersion with Grüneisen parameters

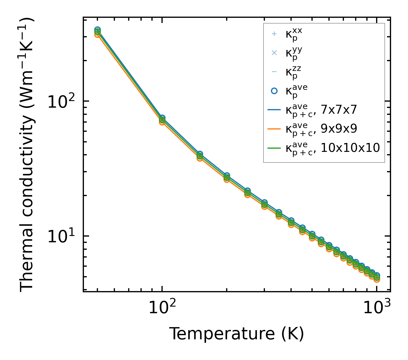
Thermal conductivity

3-phonon (LASSO) — q-mesh: 10x10x10, supercell: 1x1x1

../../_images/fig_kappa7332.png

(a) Temperature-dependent lattice thermal conductivity

../../_images/fig_kappa_vs_grain_size3940.png

(b) Peierls lattice thermal conductivity w.r.t grain size

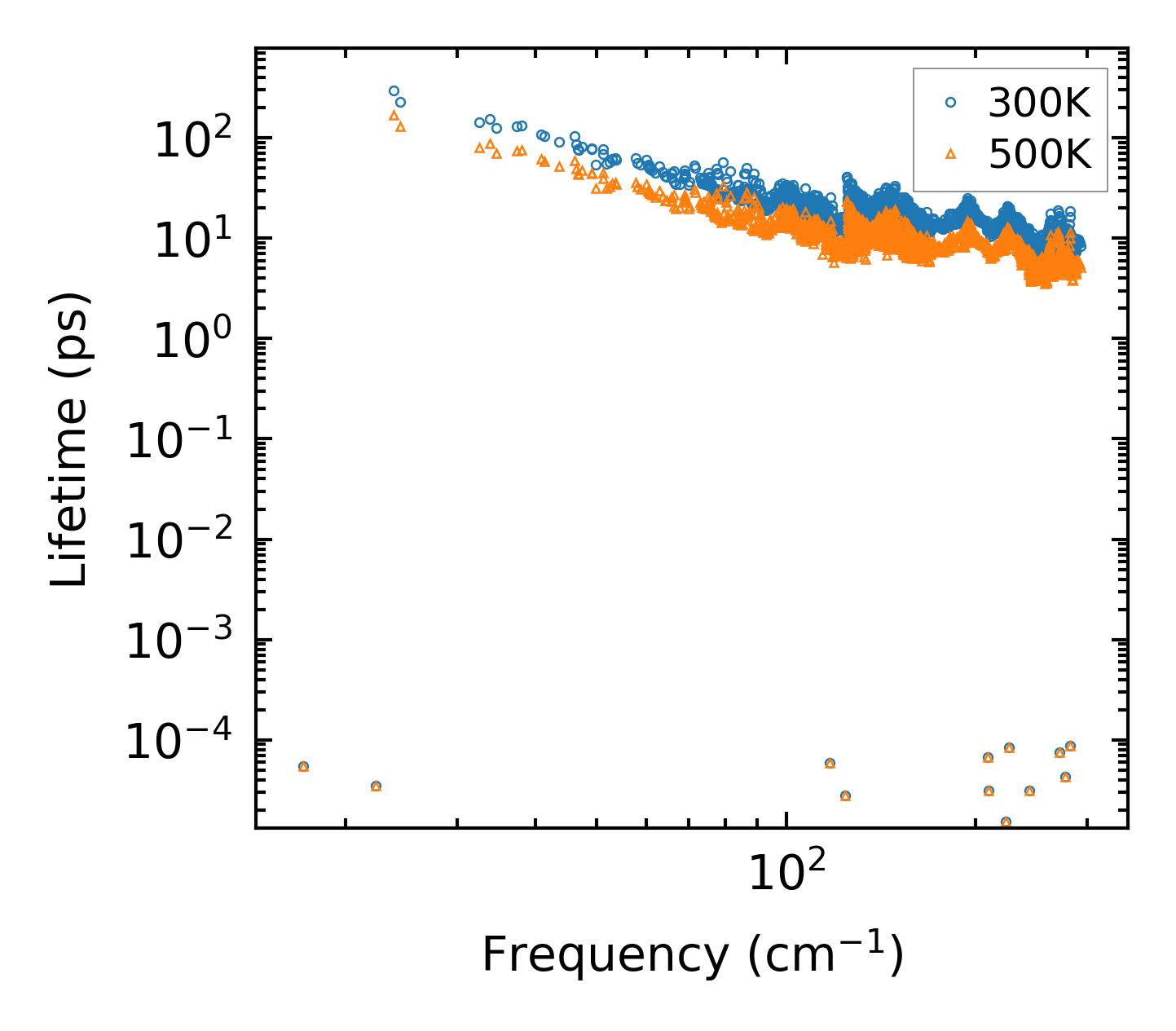
Phonon lifetime and scattering rates

../../_images/fig_lifetime3854.png

(a) Phonon lifetime due to phonon-phonon scattering

../../_images/fig_scat_rates3853.png

(b) Phonon scattering rates

Cumulative and spectral thermal conductivity

../../_images/fig_cumu_frequency3854.png

(a) Spectral and cumulative thermal conductivity w.r.t frequency

../../_images/fig_cumu_mfp3853.png

(b) Spectral and cumulative thermal conductivity w.r.t MFP

Force constants

../../_images/fig_fc29501.png

(a) Force constants w.r.t atomic distance

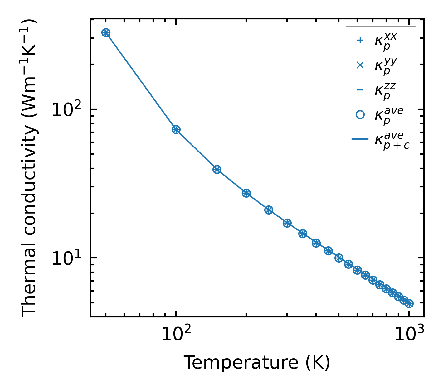
Summary

../../_images/fig_kappa7333.png

(a) Temperature-dependent lattice thermal conductivity

../../_images/fig_times16943.png

(b) Computation time