mp-540577-2/KZr2P3O12/anharm

Equation of state

../../_images/fig_bm4824.png

(a) Equation of state

Harmonic properties

../../_images/fig_bandos_pr9680.png

(a) Phonon dispersion with participation ratio and DOS

../../_images/fig_bandos13545.png

(b) Phonon dispersion and DOS

../../_images/fig_thermo9680.png

(c) Thermodynamic properties

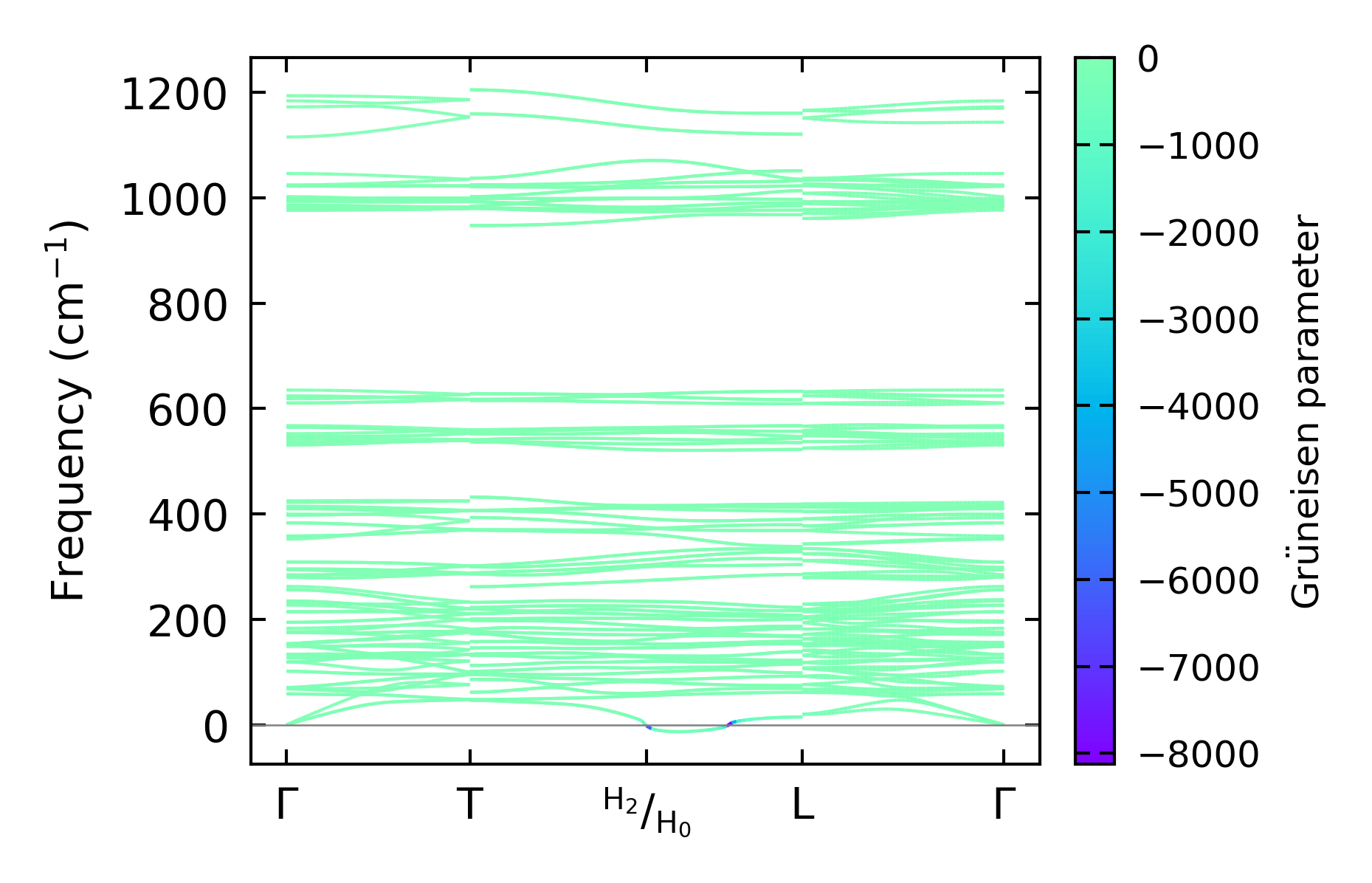
Grüneisen parameters

../../_images/fig_gru_all3863.png

(a) Grüneisen parameters

../../_images/fig_gruneisen3863.png

(b) Phonon dispersion with Grüneisen parameters

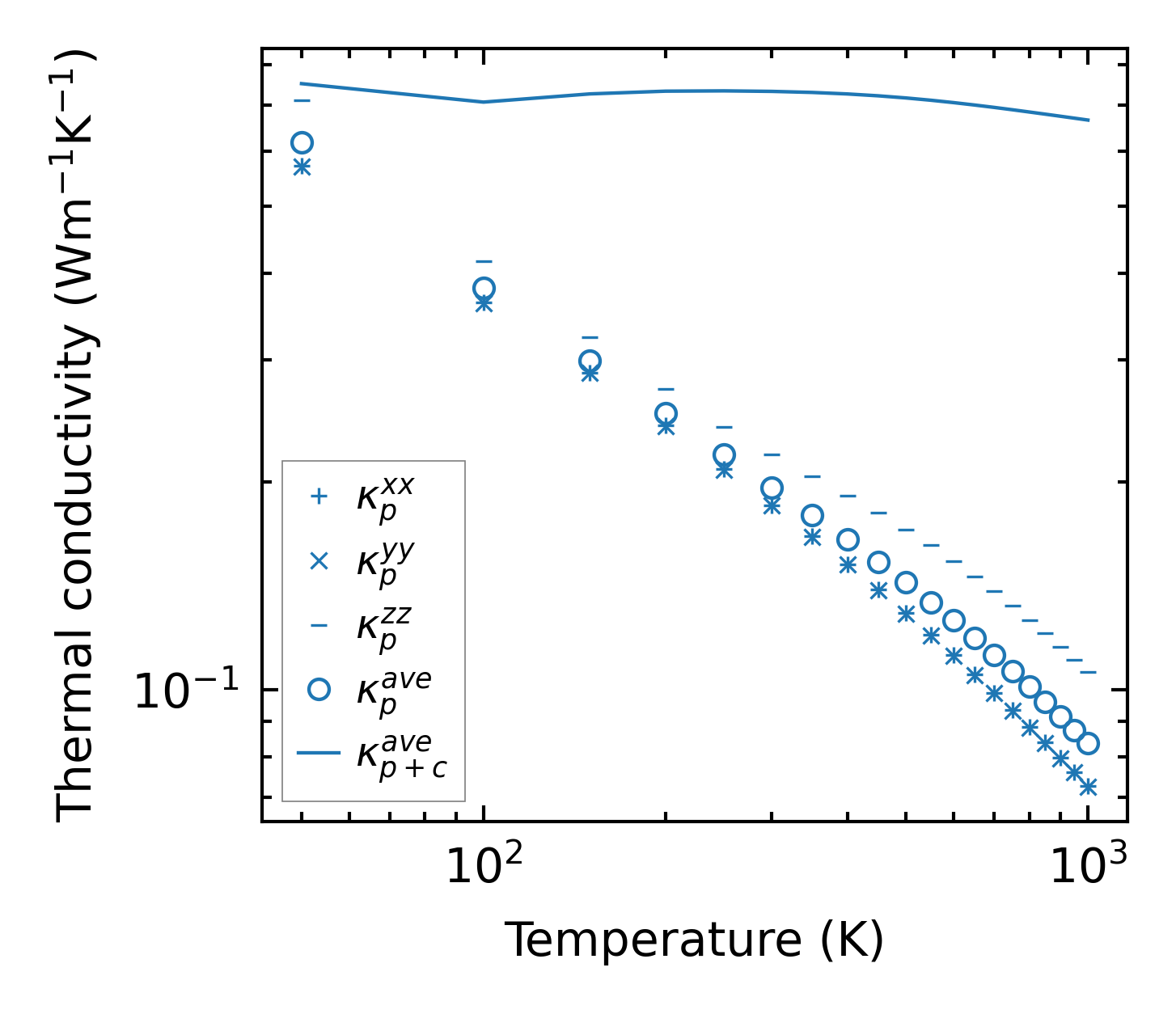
Thermal conductivity

3-phonon (LASSO), supercell 2x2x1 — q-mesh: 8x8x8, supercell: 2x2x1

../../_images/fig_kappa7279.png

(a) Temperature-dependent lattice thermal conductivity

../../_images/fig_kappa_vs_grain_size3911.png

(b) Peierls lattice thermal conductivity w.r.t grain size

Phonon lifetime and scattering rates

../../_images/fig_lifetime3827.png

(a) Phonon lifetime due to phonon-phonon scattering

../../_images/fig_scat_rates3826.png

(b) Phonon scattering rates

Cumulative and spectral thermal conductivity

../../_images/fig_cumu_frequency3827.png

(a) Spectral and cumulative thermal conductivity w.r.t frequency

../../_images/fig_cumu_mfp3826.png

(b) Spectral and cumulative thermal conductivity w.r.t MFP

Force constants

../../_images/fig_fc29441.png

(a) Force constants w.r.t atomic distance

Summary

../../_images/fig_times16843.png

(a) Computation time