mp-540939-2/TiTl4S4/anharm

Equation of state

../../_images/fig_bm4719.png

(a) Equation of state

Harmonic properties

../../_images/fig_bandos_pr9439.png

(a) Phonon dispersion with participation ratio and DOS

../../_images/fig_thermo9439.png

(b) Thermodynamic properties

Grüneisen parameters

../../_images/fig_gru_all3756.png

(a) Grüneisen parameters

../../_images/fig_gruneisen3756.png

(b) Phonon dispersion with Grüneisen parameters

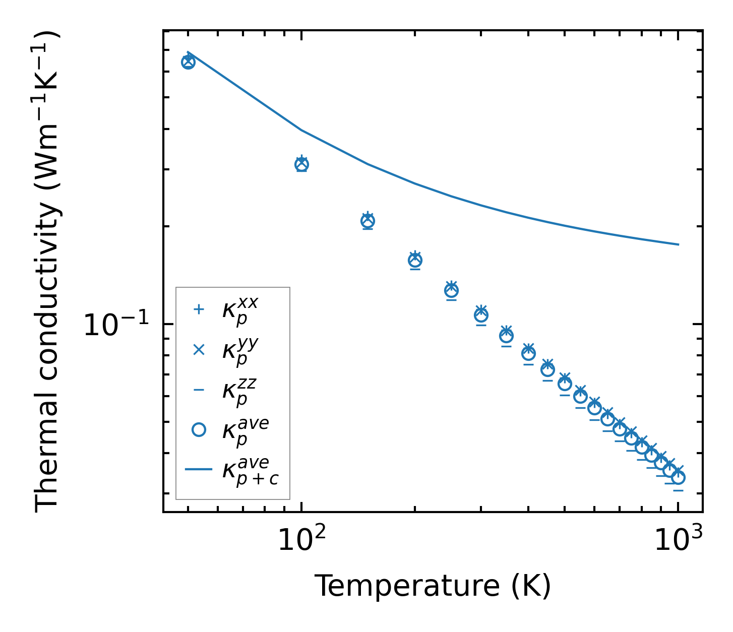
Thermal conductivity

3-phonon (LASSO) — q-mesh: 8x8x4, supercell: 2x2x1

../../_images/fig_kappa7091.png

(a) Temperature-dependent lattice thermal conductivity

../../_images/fig_kappa_vs_grain_size3805.png

(b) Peierls lattice thermal conductivity w.r.t grain size

Phonon lifetime and scattering rates

../../_images/fig_lifetime3721.png

(a) Phonon lifetime due to phonon-phonon scattering

../../_images/fig_scat_rates3720.png

(b) Phonon scattering rates

Cumulative and spectral thermal conductivity

../../_images/fig_cumu_frequency3721.png

(a) Spectral and cumulative thermal conductivity w.r.t frequency

../../_images/fig_cumu_mfp3720.png

(b) Spectral and cumulative thermal conductivity w.r.t MFP

Force constants

../../_images/fig_fc29201.png

(a) Force constants w.r.t atomic distance

Summary

../../_images/fig_kappa7092.png

(a) Temperature-dependent lattice thermal conductivity

../../_images/fig_times16425.png

(b) Computation time