mp-540703-2/Cs2S/anharm

Equation of state

../../_images/fig_bm4841.png

(a) Equation of state

Harmonic properties

../../_images/fig_bandos_pr9709.png

(a) Phonon dispersion with participation ratio and DOS

../../_images/fig_thermo9709.png

(b) Thermodynamic properties

Grüneisen parameters

../../_images/fig_gru_all3876.png

(a) Grüneisen parameters

../../_images/fig_gruneisen3876.png

(b) Phonon dispersion with Grüneisen parameters

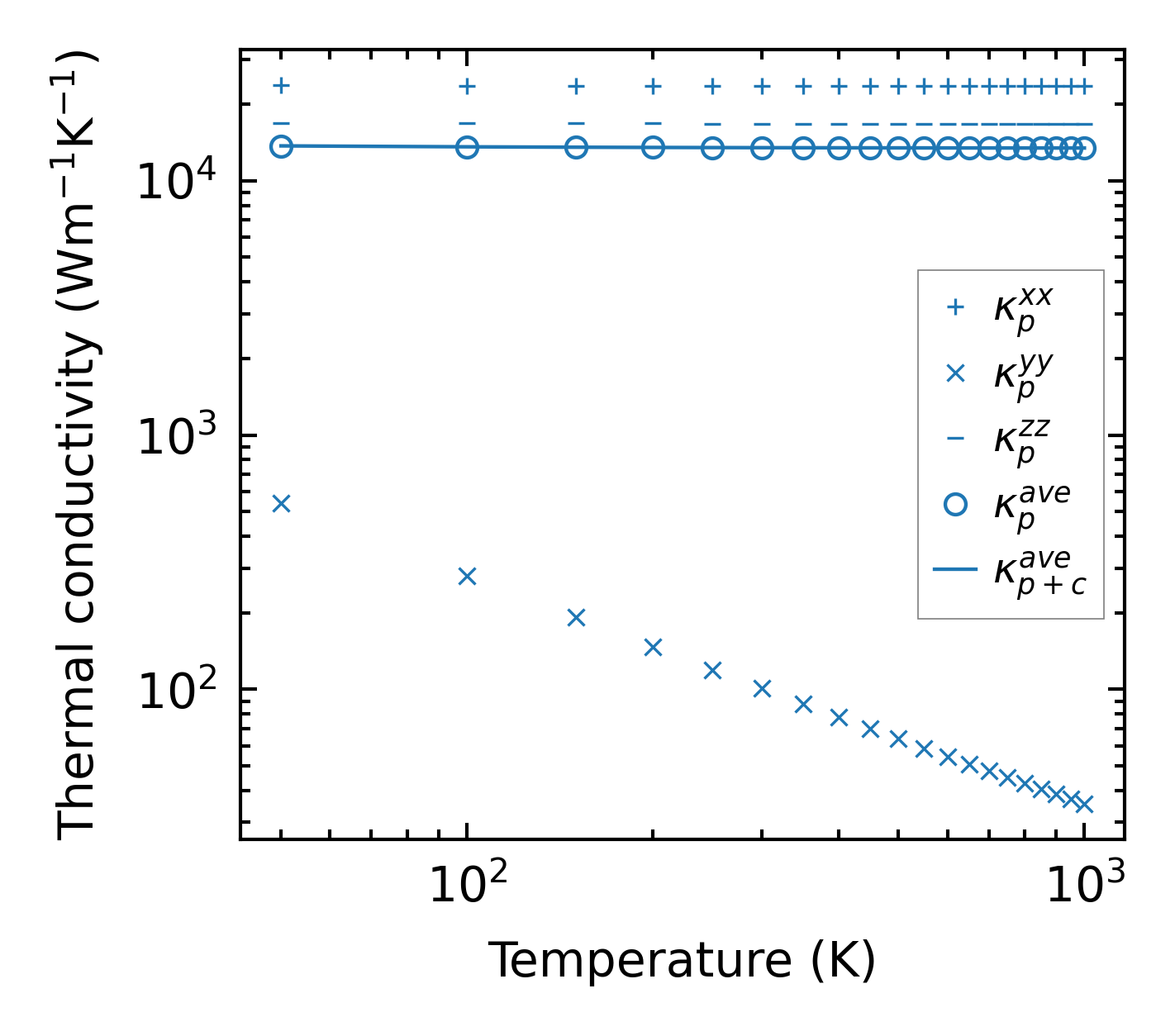
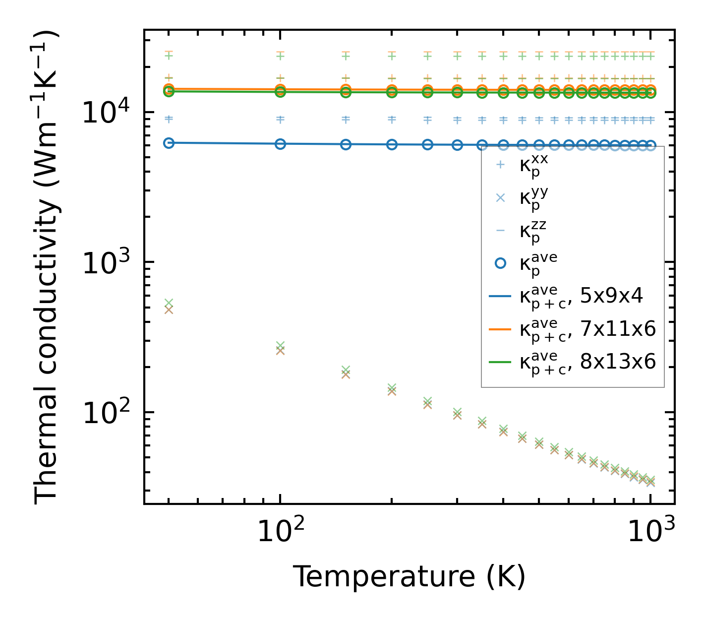
Thermal conductivity

3-phonon (LASSO) — q-mesh: 8x13x6, supercell: 2x3x2

../../_images/fig_kappa7306.png

(a) Temperature-dependent lattice thermal conductivity

../../_images/fig_kappa_vs_grain_size3926.png

(b) Peierls lattice thermal conductivity w.r.t grain size

Phonon lifetime and scattering rates

../../_images/fig_lifetime3840.png

(a) Phonon lifetime due to phonon-phonon scattering

../../_images/fig_scat_rates3839.png

(b) Phonon scattering rates

Cumulative and spectral thermal conductivity

../../_images/fig_cumu_frequency3840.png

(a) Spectral and cumulative thermal conductivity w.r.t frequency

../../_images/fig_cumu_mfp3839.png

(b) Spectral and cumulative thermal conductivity w.r.t MFP

Force constants

../../_images/fig_fc29470.png

(a) Force constants w.r.t atomic distance

Summary

../../_images/fig_kappa7307.png

(a) Temperature-dependent lattice thermal conductivity

../../_images/fig_times16889.png

(b) Computation time