mp-540729/Cs2KCoF6/anharm

Harmonic properties

../../_images/fig_bandos_pr9714.png

(a) Phonon dispersion with participation ratio and DOS

../../_images/fig_thermo9714.png

(b) Thermodynamic properties

Grüneisen parameters

../../_images/fig_gru_all3879.png

(a) Grüneisen parameters

../../_images/fig_gruneisen3879.png

(b) Phonon dispersion with Grüneisen parameters

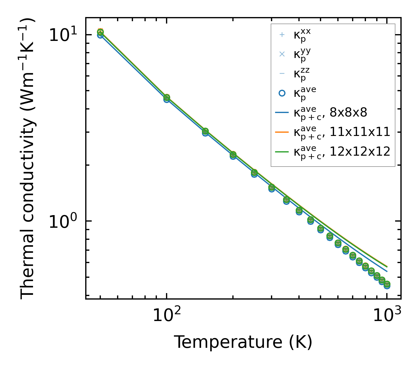
Thermal conductivity

3-phonon — q-mesh: 12x12x12, supercell: 1x1x1

../../_images/fig_kappa7312.png

(a) Temperature-dependent lattice thermal conductivity

../../_images/fig_kappa_vs_grain_size3929.png

(b) Peierls lattice thermal conductivity w.r.t grain size

Phonon lifetime and scattering rates

../../_images/fig_lifetime3843.png

(a) Phonon lifetime due to phonon-phonon scattering

../../_images/fig_scat_rates3842.png

(b) Phonon scattering rates

Cumulative and spectral thermal conductivity

../../_images/fig_cumu_frequency3843.png

(a) Spectral and cumulative thermal conductivity w.r.t frequency

../../_images/fig_cumu_mfp3842.png

(b) Spectral and cumulative thermal conductivity w.r.t MFP

Force constants

../../_images/fig_fc3240.png

(a) Force constants w.r.t atomic distance

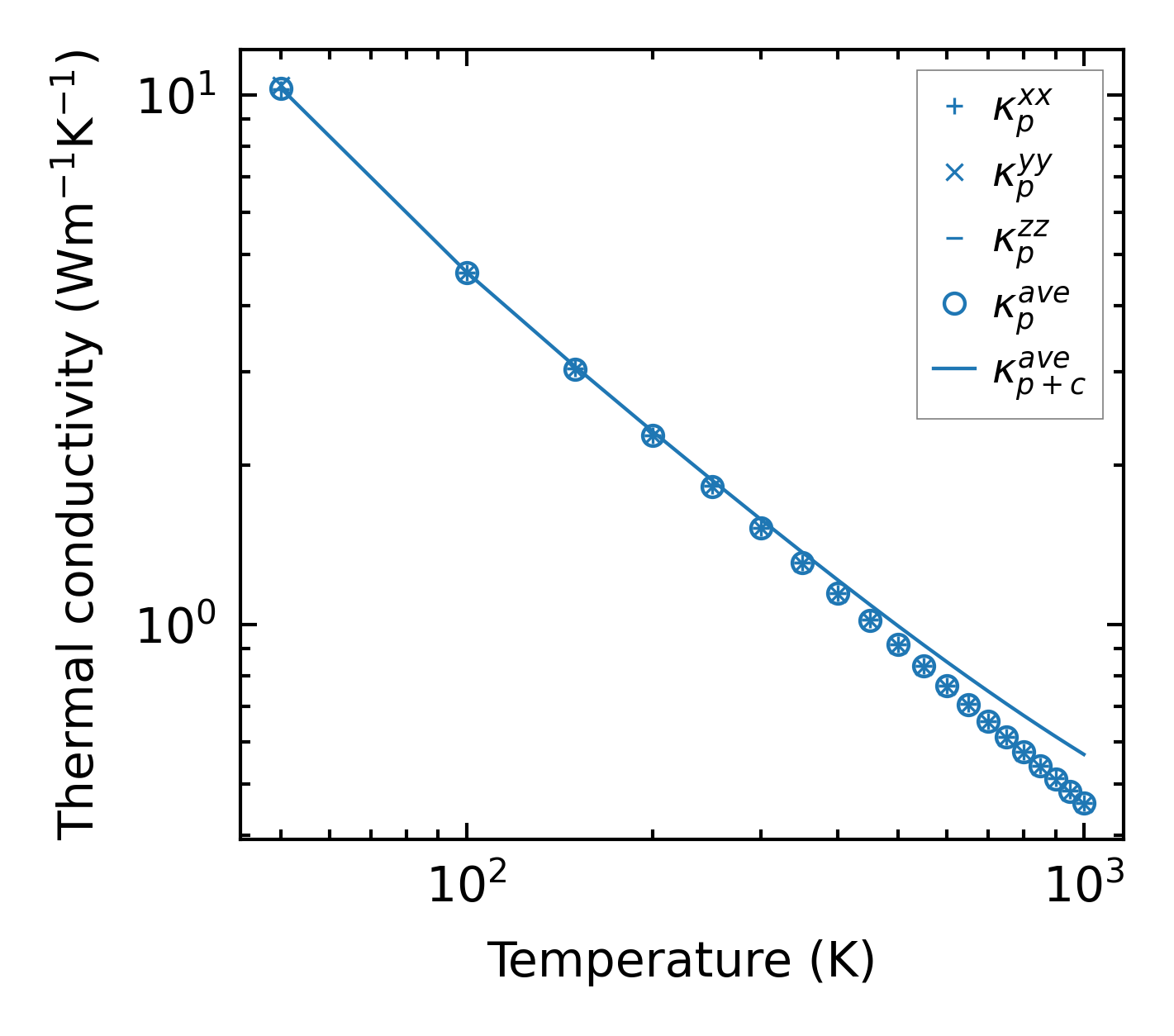
Summary

../../_images/fig_kappa7313.png

(a) Temperature-dependent lattice thermal conductivity

../../_images/fig_times16897.png

(b) Computation time