mp-540578/Cs2ZnCl4/anharm

Harmonic properties

../../_images/fig_bandos_pr9681.png

(a) Phonon dispersion with participation ratio and DOS

../../_images/fig_thermo9681.png

(b) Thermodynamic properties

Grüneisen parameters

../../_images/fig_gru_all3864.png

(a) Grüneisen parameters

../../_images/fig_gruneisen3864.png

(b) Phonon dispersion with Grüneisen parameters

Thermal conductivity

3-phonon (LASSO) — q-mesh: 7x9x5, supercell: 2x2x1

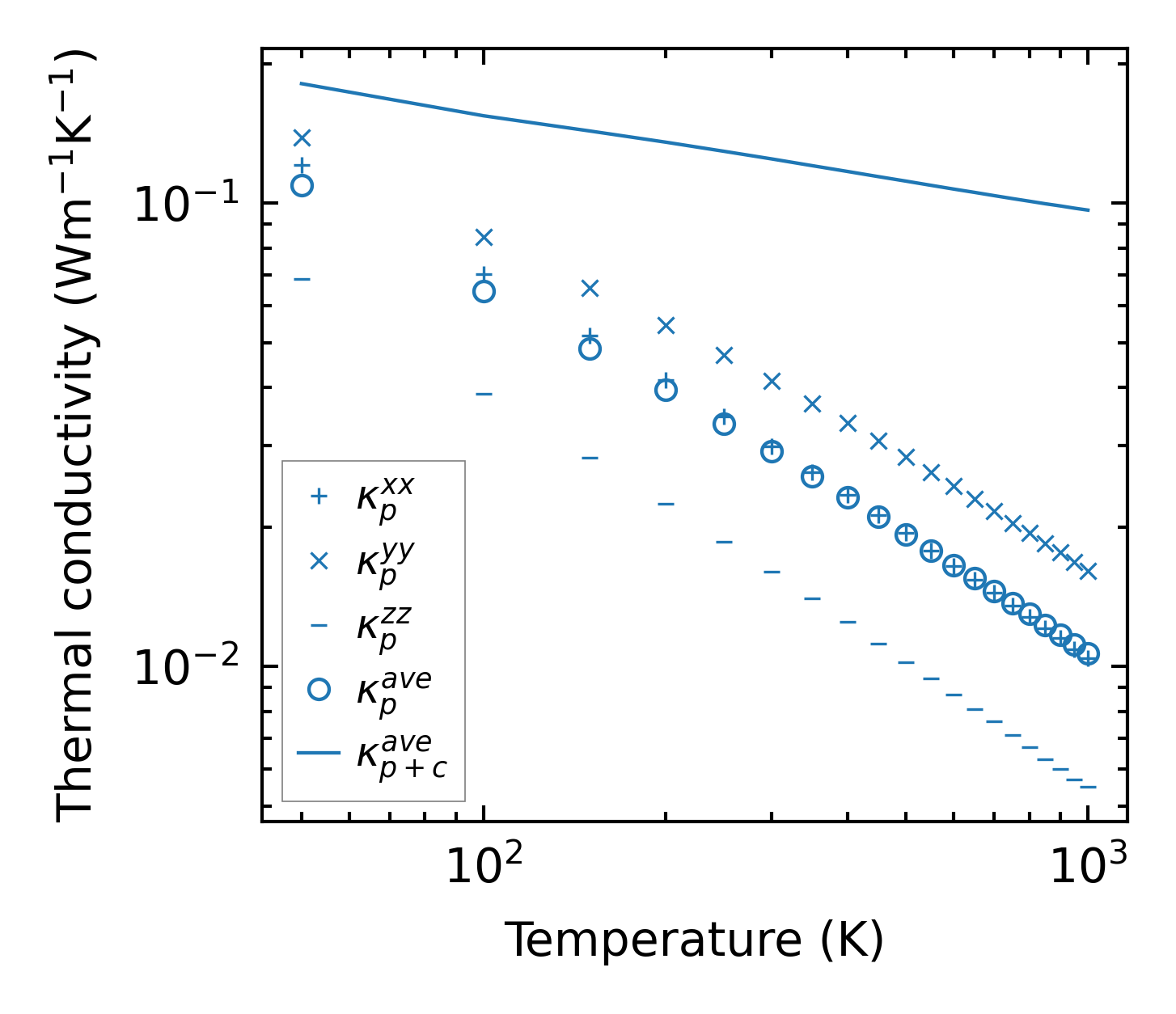
../../_images/fig_kappa7280.png

(a) Temperature-dependent lattice thermal conductivity

../../_images/fig_kappa_vs_grain_size3912.png

(b) Peierls lattice thermal conductivity w.r.t grain size

Phonon lifetime and scattering rates

../../_images/fig_lifetime3828.png

(a) Phonon lifetime due to phonon-phonon scattering

../../_images/fig_scat_rates3827.png

(b) Phonon scattering rates

Cumulative and spectral thermal conductivity

../../_images/fig_cumu_frequency3828.png

(a) Spectral and cumulative thermal conductivity w.r.t frequency

../../_images/fig_cumu_mfp3827.png

(b) Spectral and cumulative thermal conductivity w.r.t MFP

Force constants

../../_images/fig_fc29442.png

(a) Force constants w.r.t atomic distance

Summary

../../_images/fig_kappa7281.png

(a) Temperature-dependent lattice thermal conductivity

../../_images/fig_times16844.png

(b) Computation time