mp-540696/Ca3Si2As4/anharm

Harmonic properties

../../_images/fig_bandos_pr9707.png

(a) Phonon dispersion with participation ratio and DOS

../../_images/fig_thermo9707.png

(b) Thermodynamic properties

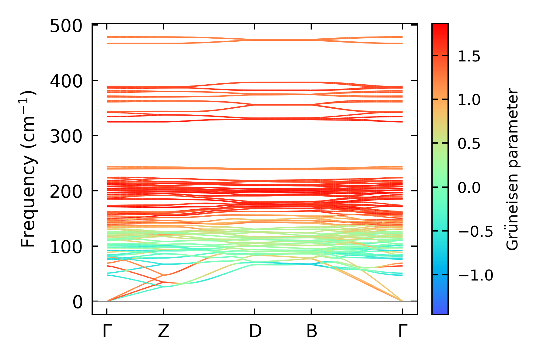
Grüneisen parameters

../../_images/fig_gru_all3874.png

(a) Grüneisen parameters

../../_images/fig_gruneisen3874.png

(b) Phonon dispersion with Grüneisen parameters

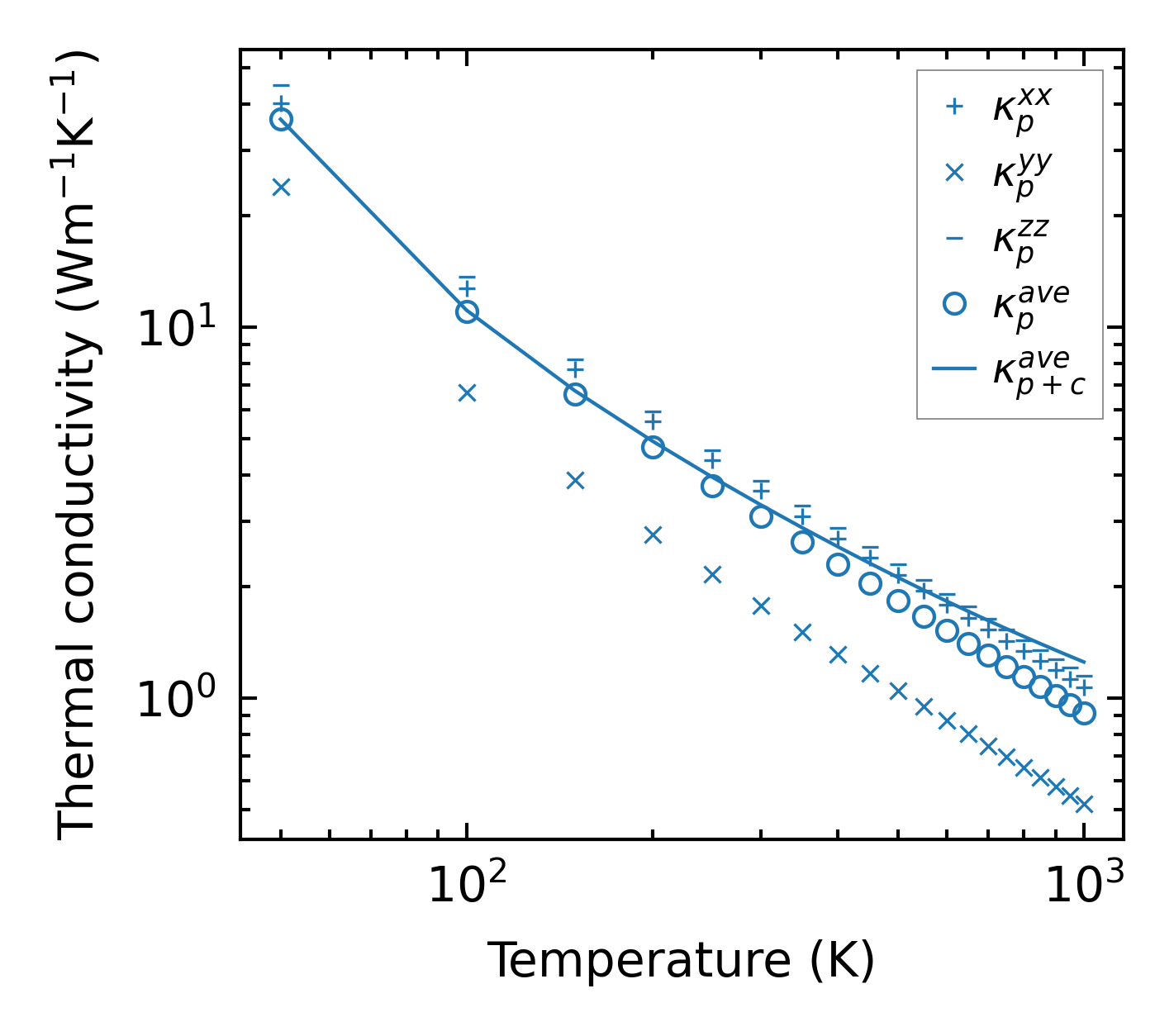
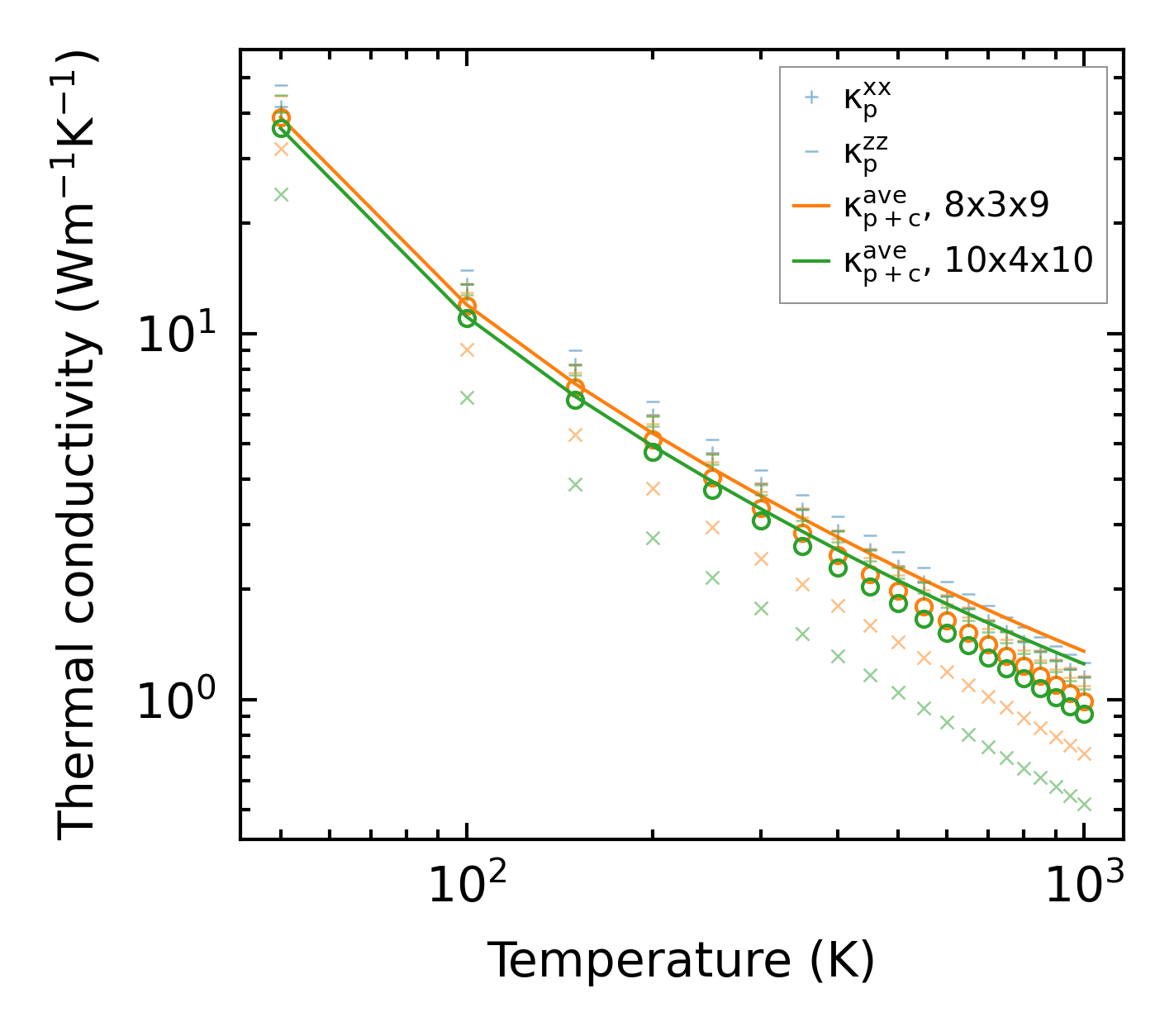
Thermal conductivity

3-phonon (LASSO) — q-mesh: 10x4x10, supercell: 2x1x2

../../_images/fig_kappa7302.png

(a) Temperature-dependent lattice thermal conductivity

../../_images/fig_kappa_vs_grain_size3924.png

(b) Peierls lattice thermal conductivity w.r.t grain size

Phonon lifetime and scattering rates

../../_images/fig_lifetime3838.png

(a) Phonon lifetime due to phonon-phonon scattering

../../_images/fig_scat_rates3837.png

(b) Phonon scattering rates

Cumulative and spectral thermal conductivity

../../_images/fig_cumu_frequency3838.png

(a) Spectral and cumulative thermal conductivity w.r.t frequency

../../_images/fig_cumu_mfp3837.png

(b) Spectral and cumulative thermal conductivity w.r.t MFP

Force constants

../../_images/fig_fc29468.png

(a) Force constants w.r.t atomic distance

Summary

../../_images/fig_kappa7303.png

(a) Temperature-dependent lattice thermal conductivity

../../_images/fig_times16887.png

(b) Computation time