mp-540688-2/SrIn2O4/anharm

Equation of state

../../_images/fig_bm4838.png

(a) Equation of state

Harmonic properties

../../_images/fig_bandos_pr9703.png

(a) Phonon dispersion with participation ratio and DOS

../../_images/fig_thermo9703.png

(b) Thermodynamic properties

Grüneisen parameters

../../_images/fig_gru_all3872.png

(a) Grüneisen parameters

../../_images/fig_gruneisen3872.png

(b) Phonon dispersion with Grüneisen parameters

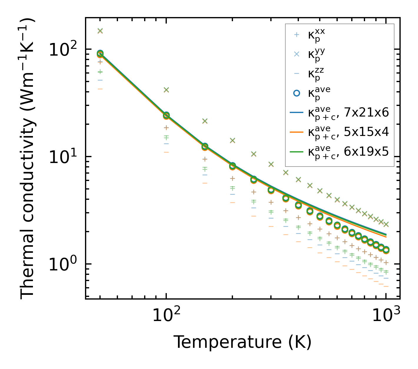
Thermal conductivity

3-phonon (LASSO) — q-mesh: 7x21x6, supercell: 1x4x1

../../_images/fig_kappa7296.png

(a) Temperature-dependent lattice thermal conductivity

../../_images/fig_kappa_vs_grain_size3920.png

(b) Peierls lattice thermal conductivity w.r.t grain size

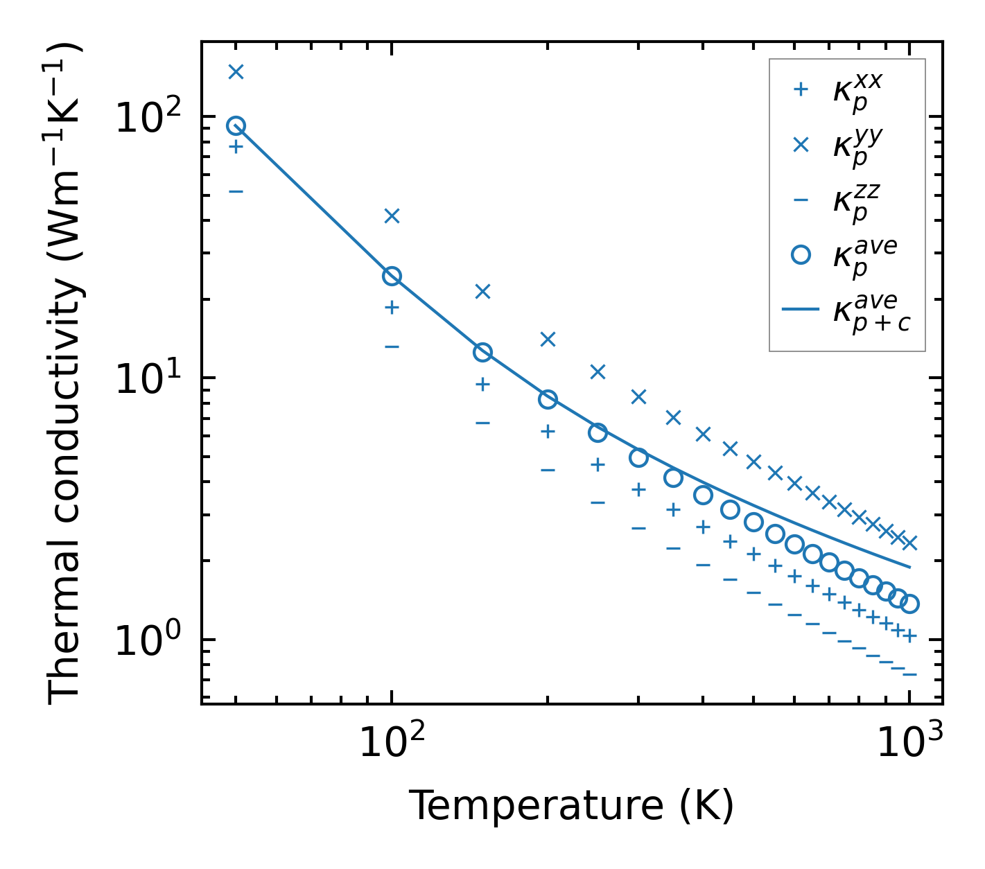
3-phonon (LASSO), supercell 2x3x1 — q-mesh: 7x21x6, supercell: 2x3x1

../../_images/fig_kappa7297.png

(a) Temperature-dependent lattice thermal conductivity

../../_images/fig_kappa_vs_grain_size3921.png

(b) Peierls lattice thermal conductivity w.r.t grain size

Phonon lifetime and scattering rates

../../_images/fig_lifetime3836.png

(a) Phonon lifetime due to phonon-phonon scattering

../../_images/fig_scat_rates3835.png

(b) Phonon scattering rates

Cumulative and spectral thermal conductivity

../../_images/fig_cumu_frequency3836.png

(a) Spectral and cumulative thermal conductivity w.r.t frequency

../../_images/fig_cumu_mfp3835.png

(b) Spectral and cumulative thermal conductivity w.r.t MFP

Force constants

../../_images/fig_fc29464.png

(a) Force constants w.r.t atomic distance

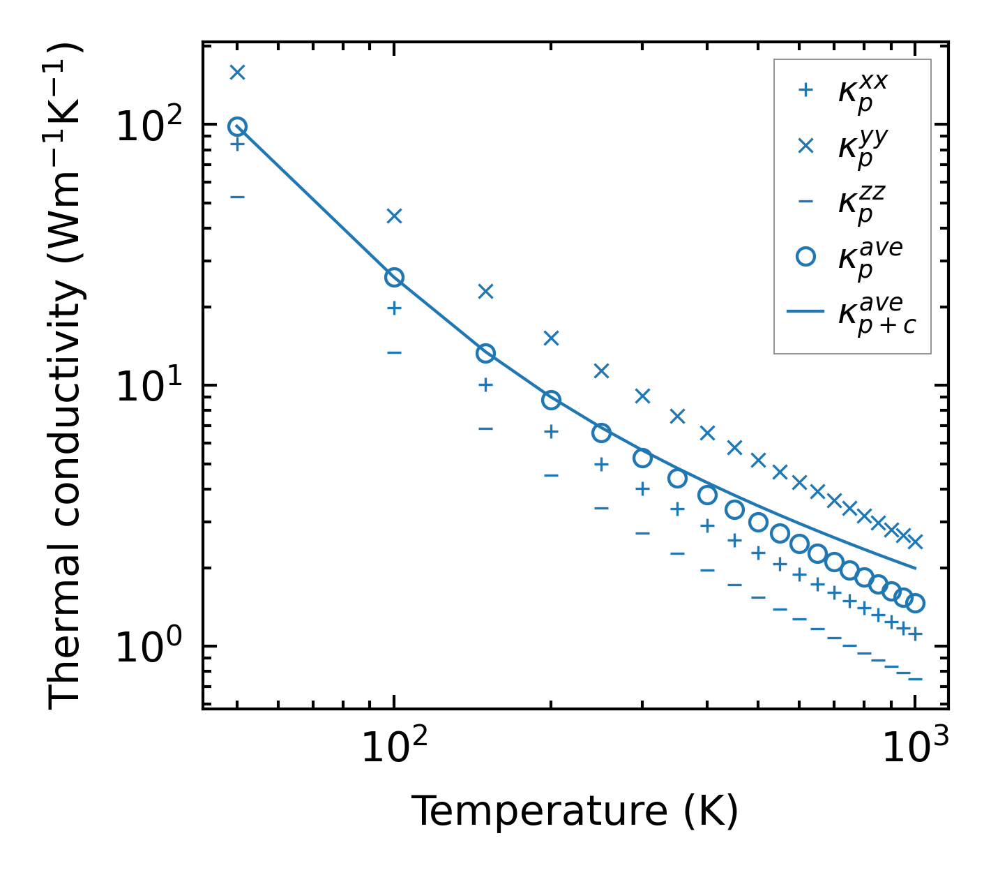
Summary

../../_images/fig_kappa7298.png

(a) Temperature-dependent lattice thermal conductivity

../../_images/fig_times16882.png

(b) Computation time