mp-540619/K3SnTe3/anharm

Harmonic properties

../../_images/fig_bandos_pr9685.png

(a) Phonon dispersion with participation ratio and DOS

../../_images/fig_thermo9685.png

(b) Thermodynamic properties

Grüneisen parameters

../../_images/fig_gru_all3867.png

(a) Grüneisen parameters

../../_images/fig_gruneisen3867.png

(b) Phonon dispersion with Grüneisen parameters

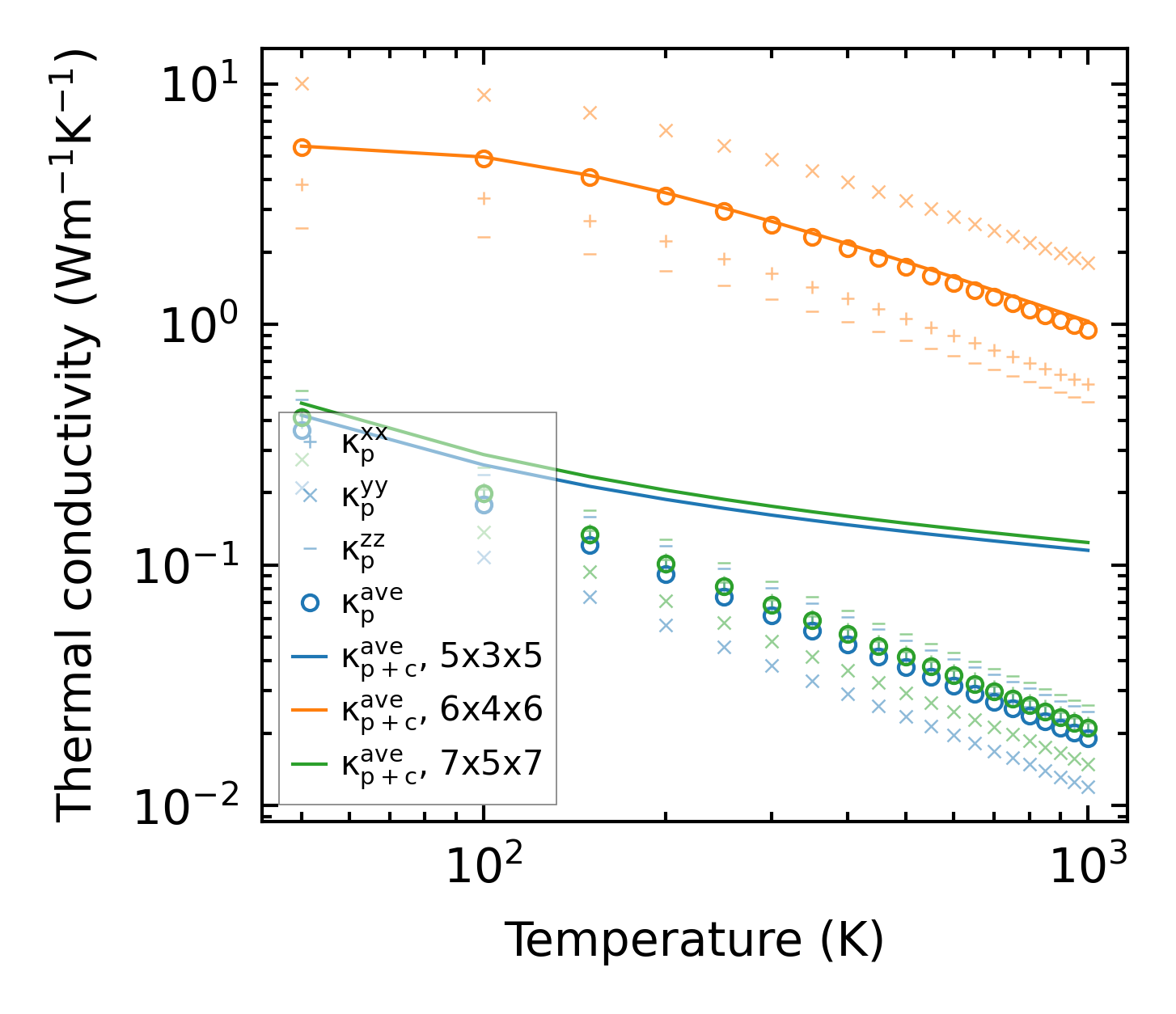
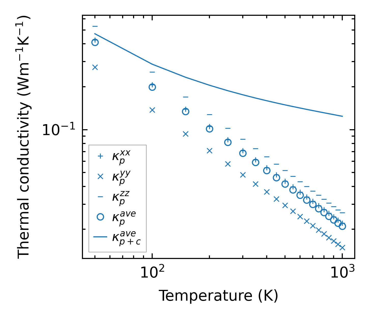
Thermal conductivity

3-phonon (LASSO) — q-mesh: 7x5x7, supercell: 2x1x2

../../_images/fig_kappa7286.png

(a) Temperature-dependent lattice thermal conductivity

../../_images/fig_kappa_vs_grain_size3915.png

(b) Peierls lattice thermal conductivity w.r.t grain size

Phonon lifetime and scattering rates

../../_images/fig_lifetime3831.png

(a) Phonon lifetime due to phonon-phonon scattering

../../_images/fig_scat_rates3830.png

(b) Phonon scattering rates

Cumulative and spectral thermal conductivity

../../_images/fig_cumu_frequency3831.png

(a) Spectral and cumulative thermal conductivity w.r.t frequency

../../_images/fig_cumu_mfp3830.png

(b) Spectral and cumulative thermal conductivity w.r.t MFP

Force constants

../../_images/fig_fc29446.png

(a) Force constants w.r.t atomic distance

Summary

../../_images/fig_kappa7287.png

(a) Temperature-dependent lattice thermal conductivity

../../_images/fig_times16858.png

(b) Computation time