mp-753864/Sr2Li2Nb4O13/harm

Equation of state

../../_images/fig_bm1840.png

(a) Equation of state

Harmonic properties

../../_images/fig_bandos_pr3763.png

(a) Phonon dispersion with participation ratio and DOS

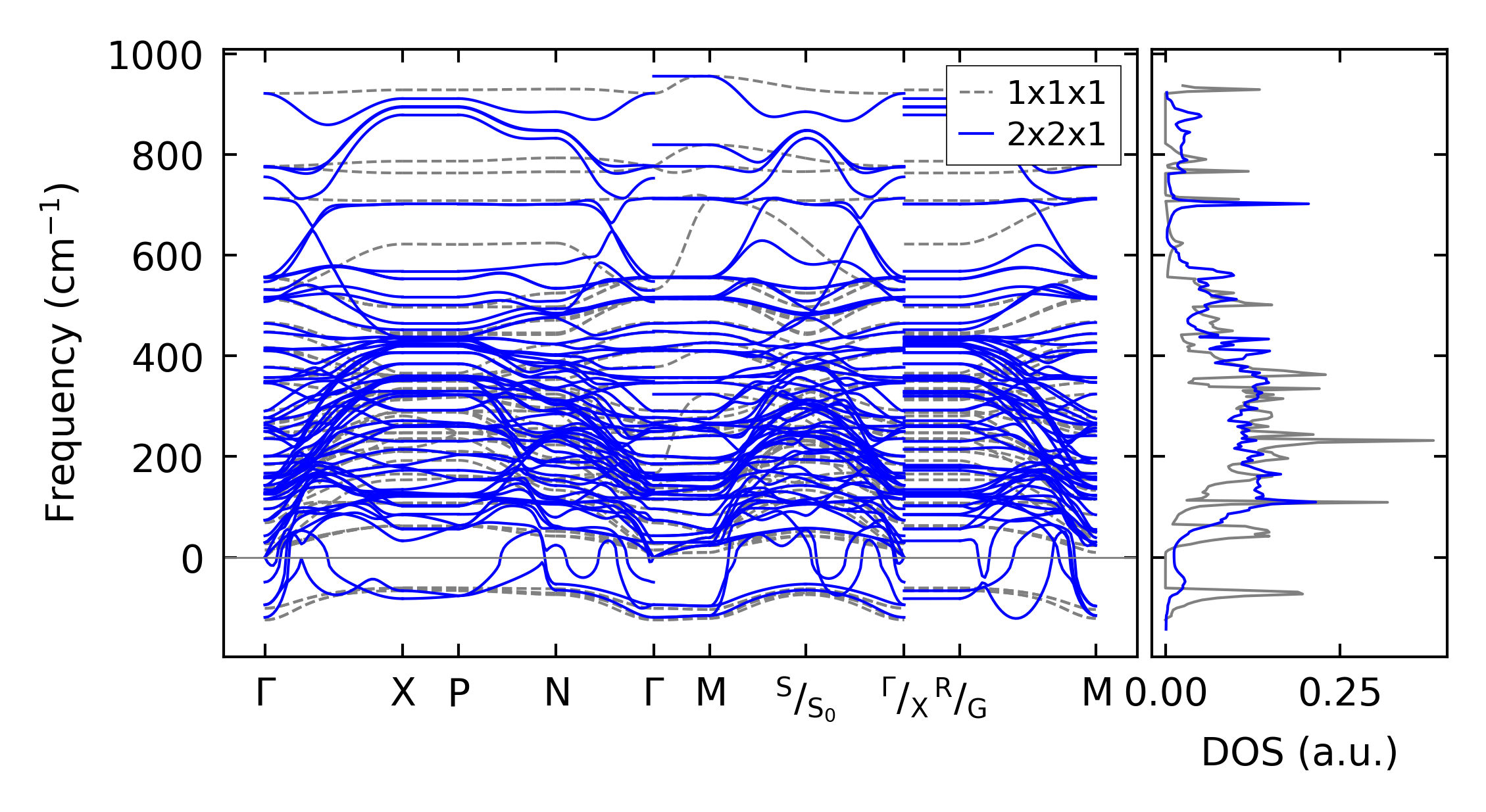
../../_images/fig_bandos5008.png

(b) Phonon dispersion and DOS

../../_images/fig_thermo3763.png

(c) Thermodynamic properties

Force constants

../../_images/fig_fc23578.png

(a) Force constants w.r.t atomic distance

Summary

../../_images/fig_times6520.png

(a) Computation time