mp-753746/Rb2O/anharm

Harmonic properties

../../_images/fig_bandos_pr3731.png

(a) Phonon dispersion with participation ratio and DOS

../../_images/fig_thermo3731.png

(b) Thermodynamic properties

Grüneisen parameters

../../_images/fig_gru_all1682.png

(a) Grüneisen parameters

../../_images/fig_gruneisen1682.png

(b) Phonon dispersion with Grüneisen parameters

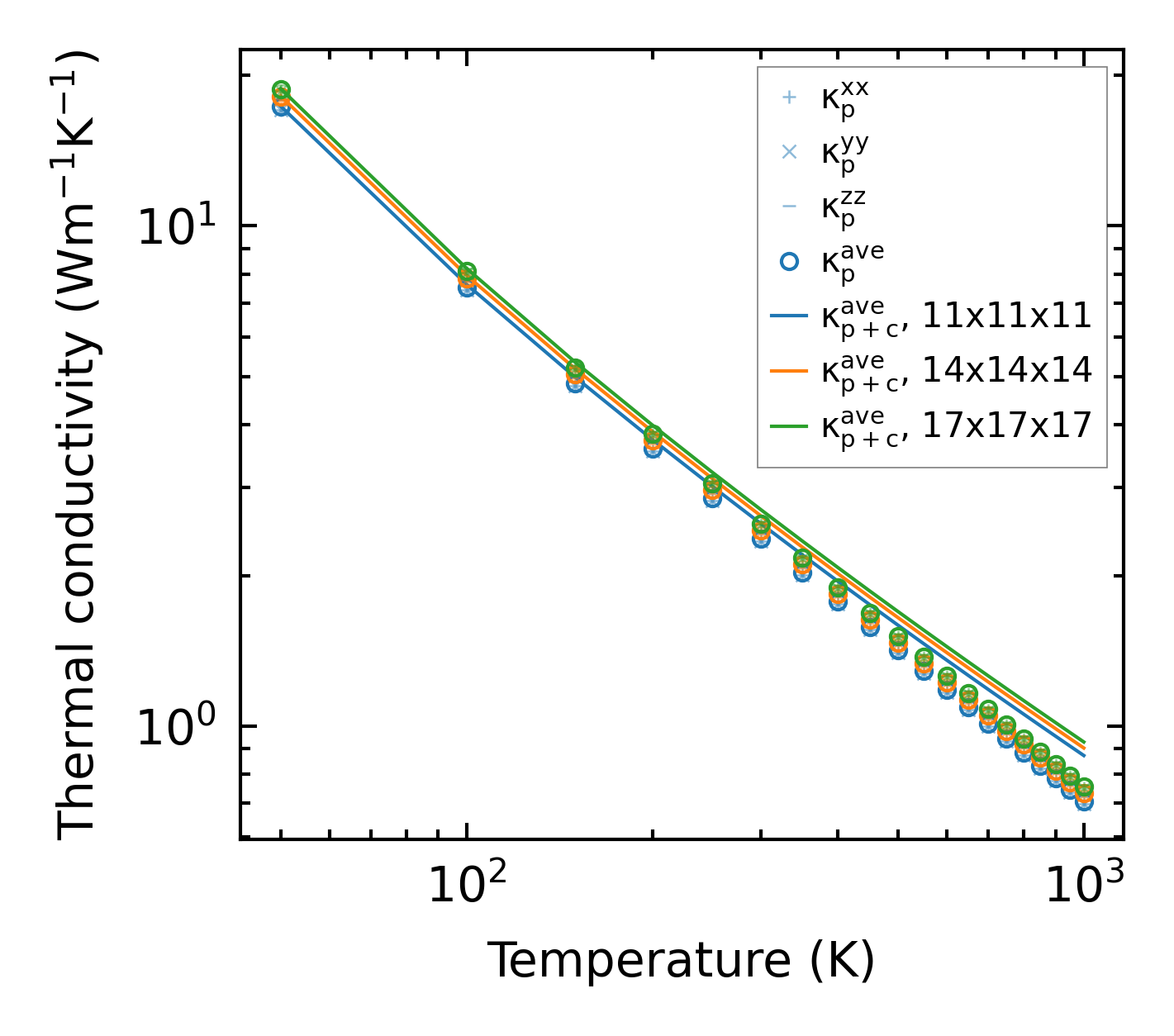
Thermal conductivity

3-phonon — q-mesh: 17x17x17, supercell: 4x4x1

../../_images/fig_kappa3234.png

(a) Temperature-dependent lattice thermal conductivity

../../_images/fig_kappa_vs_grain_size1705.png

(b) Peierls lattice thermal conductivity w.r.t grain size

Phonon lifetime and scattering rates

../../_images/fig_lifetime1672.png

(a) Phonon lifetime due to phonon-phonon scattering

../../_images/fig_scat_rates1671.png

(b) Phonon scattering rates

Cumulative and spectral thermal conductivity

../../_images/fig_cumu_frequency1672.png

(a) Spectral and cumulative thermal conductivity w.r.t frequency

../../_images/fig_cumu_mfp1672.png

(b) Spectral and cumulative thermal conductivity w.r.t MFP

Force constants

../../_images/fig_fc3184.png

(a) Force constants w.r.t atomic distance

Summary

../../_images/fig_kappa3235.png

(a) Temperature-dependent lattice thermal conductivity

../../_images/fig_times6478.png

(b) Computation time