mp-753001/CoAgO2/anharm

Harmonic properties

../../_images/fig_bandos_pr3972.png

(a) Phonon dispersion with participation ratio and DOS

../../_images/fig_thermo3972.png

(b) Thermodynamic properties

Grüneisen parameters

../../_images/fig_gru_all1790.png

(a) Grüneisen parameters

../../_images/fig_gruneisen1790.png

(b) Phonon dispersion with Grüneisen parameters

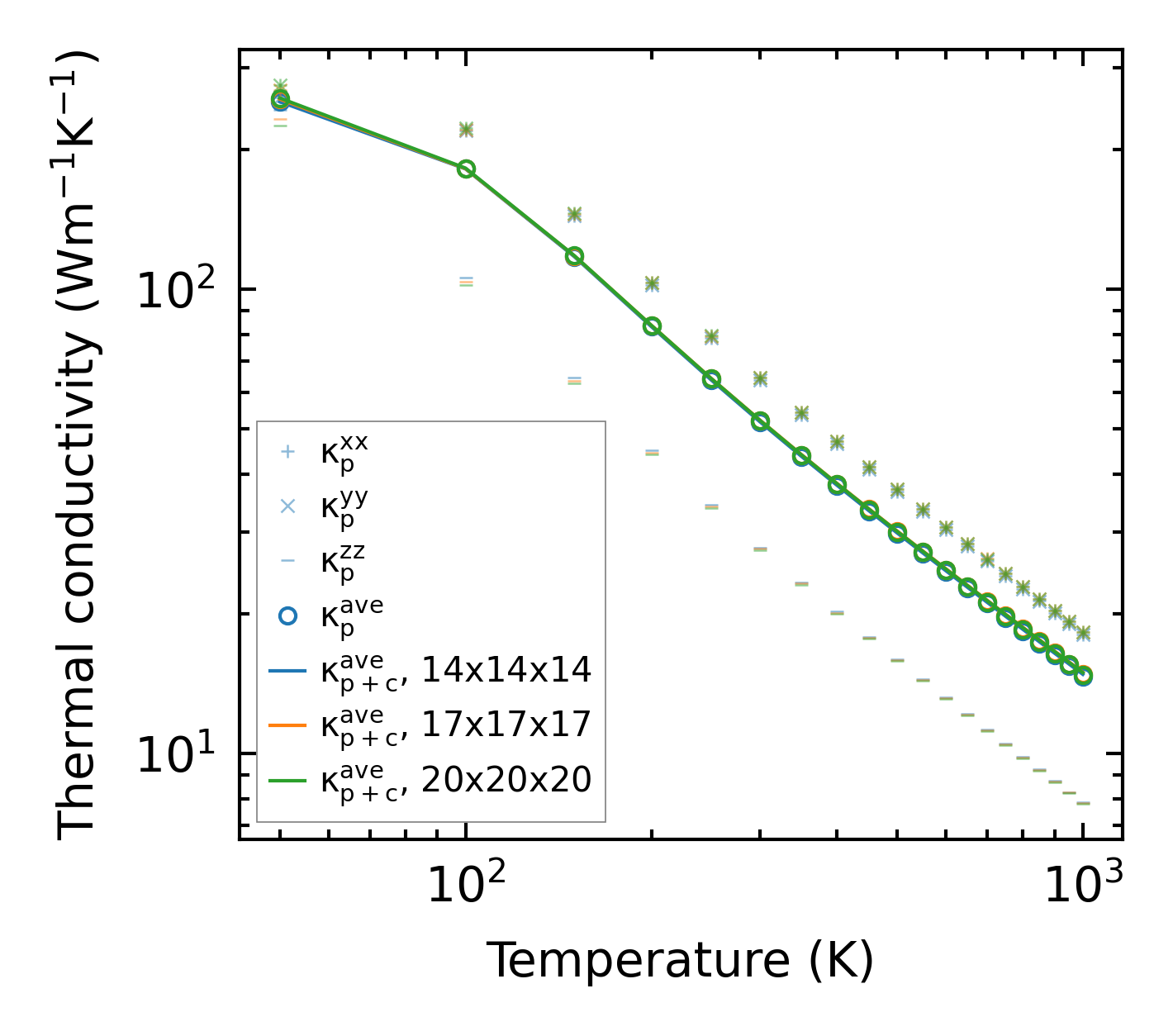
Thermal conductivity

3-phonon (LASSO) — q-mesh: 20x20x20, supercell: 3x3x1

../../_images/fig_kappa3438.png

(a) Temperature-dependent lattice thermal conductivity

../../_images/fig_kappa_vs_grain_size1818.png

(b) Peierls lattice thermal conductivity w.r.t grain size

Phonon lifetime and scattering rates

../../_images/fig_lifetime1780.png

(a) Phonon lifetime due to phonon-phonon scattering

../../_images/fig_scat_rates1779.png

(b) Phonon scattering rates

Cumulative and spectral thermal conductivity

../../_images/fig_cumu_frequency1780.png

(a) Spectral and cumulative thermal conductivity w.r.t frequency

../../_images/fig_cumu_mfp1780.png

(b) Spectral and cumulative thermal conductivity w.r.t MFP

Force constants

../../_images/fig_fc23785.png

(a) Force constants w.r.t atomic distance

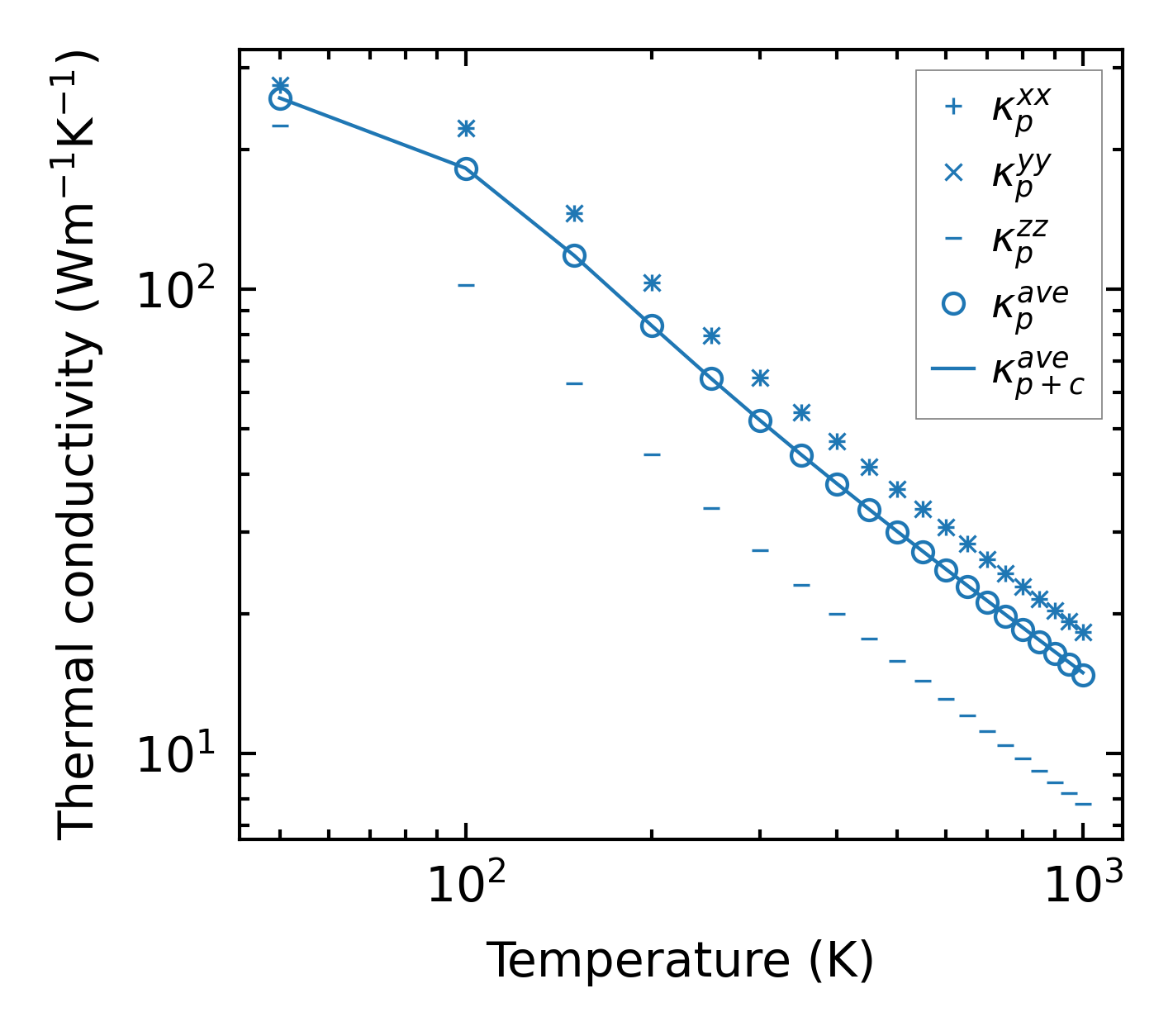
Summary

../../_images/fig_kappa3439.png

(a) Temperature-dependent lattice thermal conductivity

../../_images/fig_times6881.png

(b) Computation time