mp-753816/Na6MgO4/anharm

Harmonic properties

../../_images/fig_bandos_pr3754.png

(a) Phonon dispersion with participation ratio and DOS

../../_images/fig_thermo3754.png

(b) Thermodynamic properties

Grüneisen parameters

../../_images/fig_gru_all1690.png

(a) Grüneisen parameters

../../_images/fig_gruneisen1690.png

(b) Phonon dispersion with Grüneisen parameters

Thermal conductivity

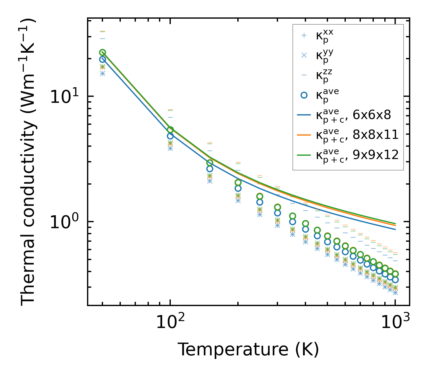
3-phonon (LASSO) — q-mesh: 9x9x12, supercell: 1x1x2

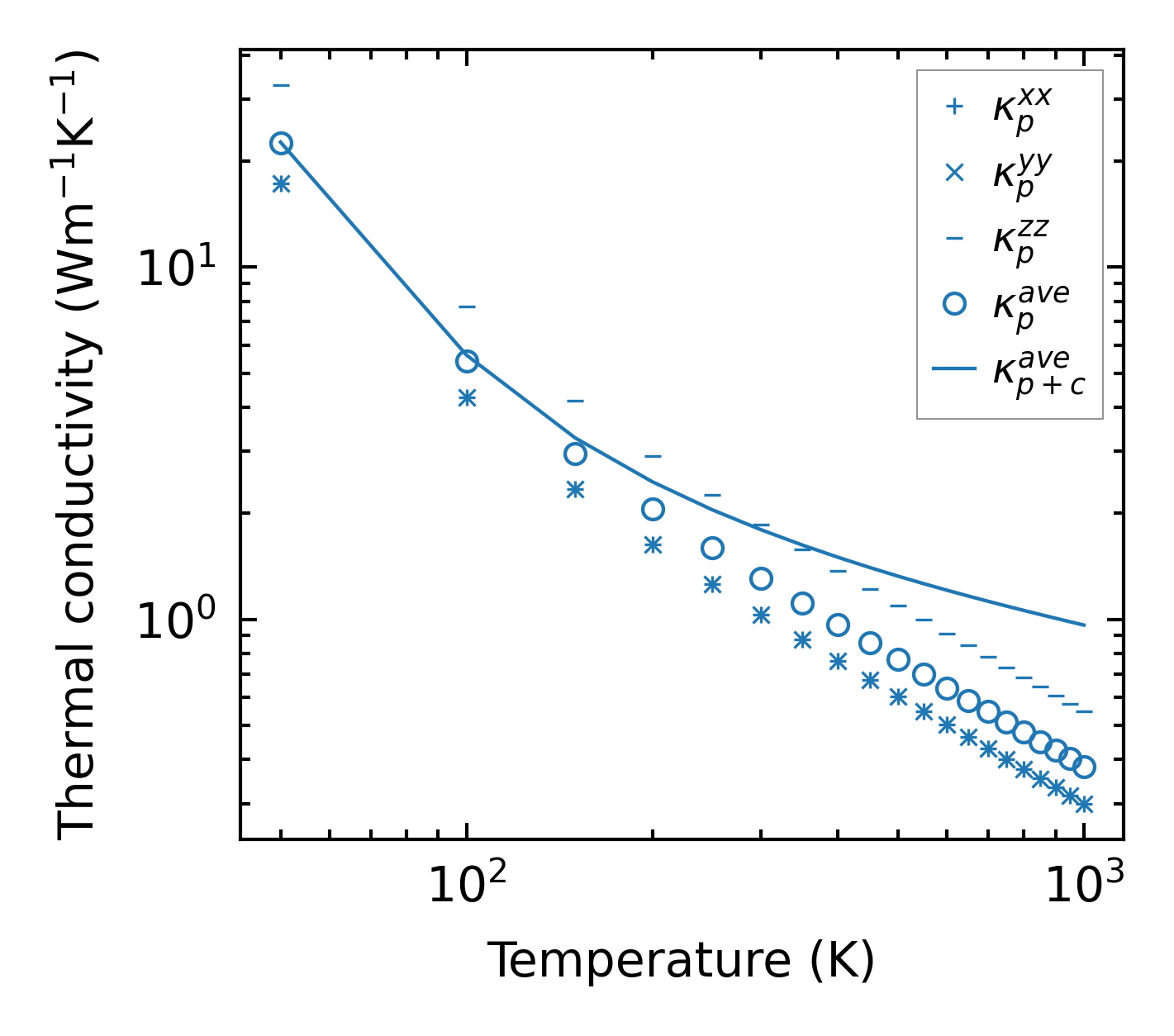
../../_images/fig_kappa3250.png

(a) Temperature-dependent lattice thermal conductivity

../../_images/fig_kappa_vs_grain_size1714.png

(b) Peierls lattice thermal conductivity w.r.t grain size

Phonon lifetime and scattering rates

../../_images/fig_lifetime1680.png

(a) Phonon lifetime due to phonon-phonon scattering

../../_images/fig_scat_rates1679.png

(b) Phonon scattering rates

Cumulative and spectral thermal conductivity

../../_images/fig_cumu_frequency1680.png

(a) Spectral and cumulative thermal conductivity w.r.t frequency

../../_images/fig_cumu_mfp1680.png

(b) Spectral and cumulative thermal conductivity w.r.t MFP

Force constants

../../_images/fig_fc23569.png

(a) Force constants w.r.t atomic distance

Summary

../../_images/fig_kappa3251.png

(a) Temperature-dependent lattice thermal conductivity

../../_images/fig_times6510.png

(b) Computation time